mp-10955-2/SnHg2Se4/harm

Harmonic properties

../../_images/fig_bandos_pr687.png

(a) Phonon dispersion with participation ratio and DOS

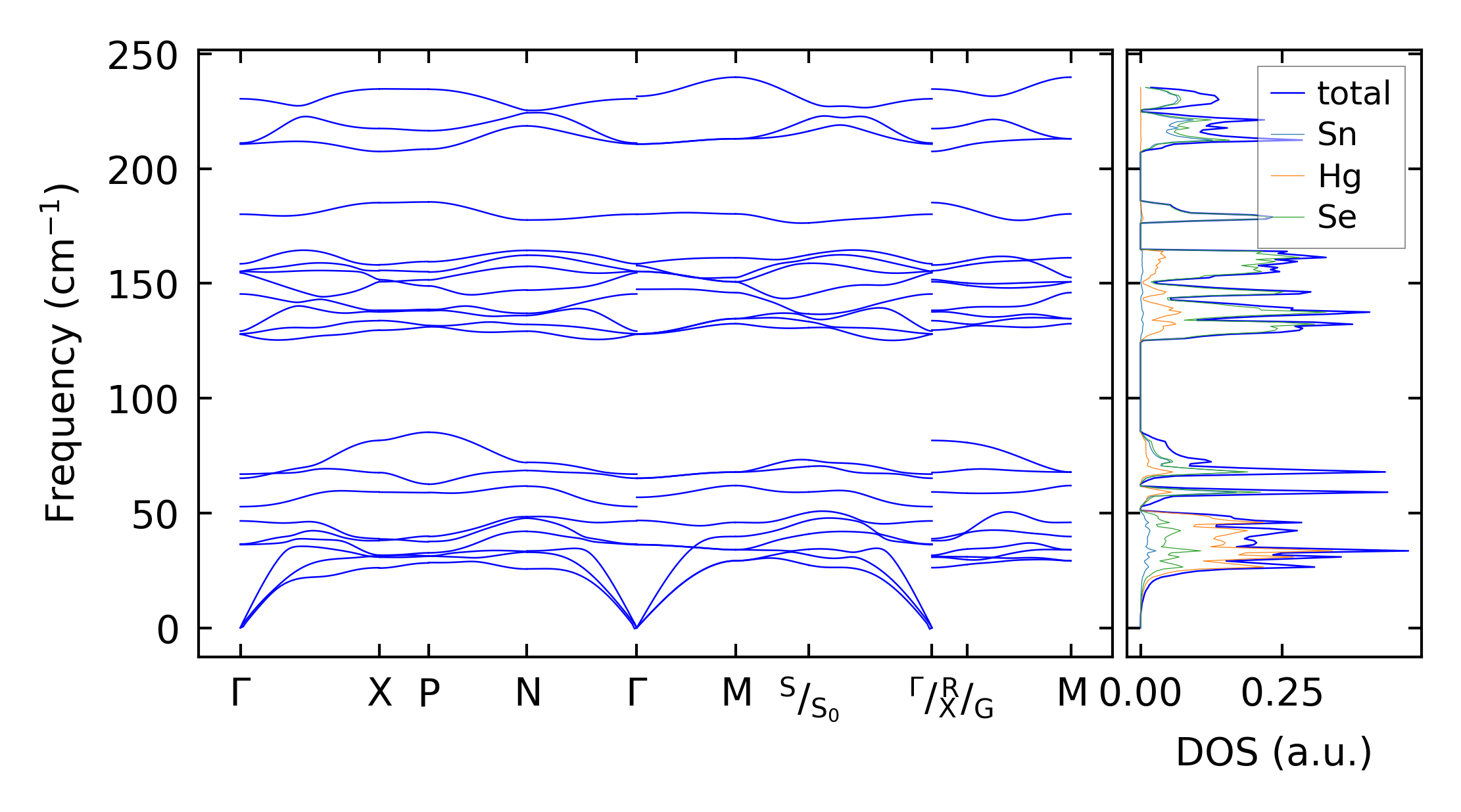
../../_images/fig_bandos570.png

(b) Phonon dispersion and DOS

../../_images/fig_thermo687.png

(c) Thermodynamic properties

Force constants

../../_images/fig_fc2598.png

(a) Force constants w.r.t atomic distance

Summary

../../_images/fig_times987.png

(a) Computation time