mp-10556/Sr2LiReN4/anharm

Equation of state

../../_images/fig_bm209.png

(a) Equation of state

Harmonic properties

../../_images/fig_bandos_pr609.png

(a) Phonon dispersion with participation ratio and DOS

../../_images/fig_thermo609.png

(b) Thermodynamic properties

Grüneisen parameters

../../_images/fig_gru_all398.png

(a) Grüneisen parameters

../../_images/fig_gruneisen398.png

(b) Phonon dispersion with Grüneisen parameters

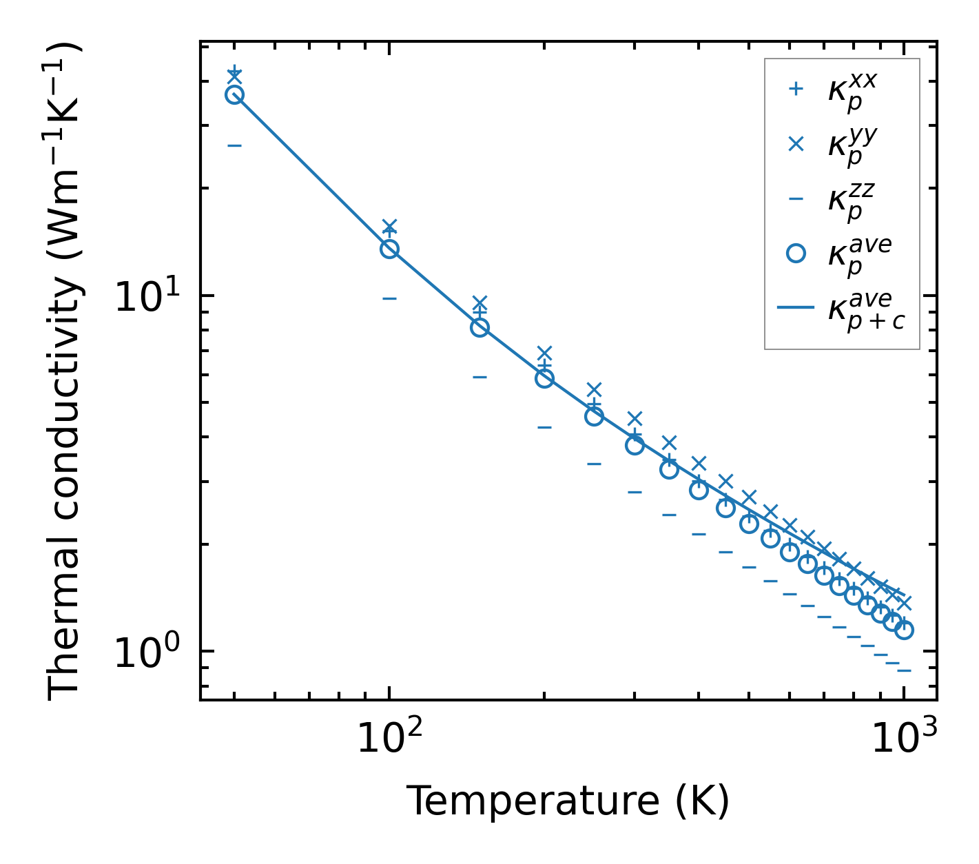
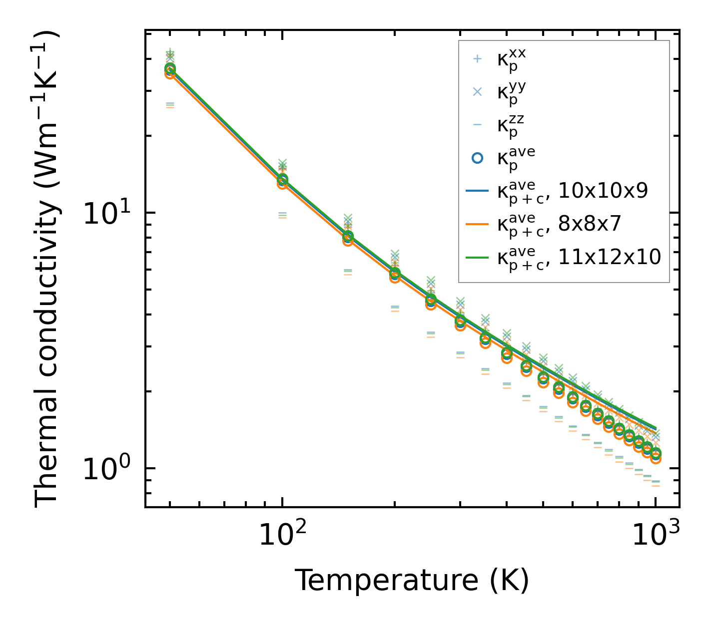
Thermal conductivity

3-phonon (LASSO) — q-mesh: 11x12x10, supercell: 2x2x2

../../_images/fig_kappa775.png

(a) Temperature-dependent lattice thermal conductivity

../../_images/fig_kappa_vs_grain_size404.png

(b) Peierls lattice thermal conductivity w.r.t grain size

Phonon lifetime and scattering rates

../../_images/fig_lifetime396.png

(a) Phonon lifetime due to phonon-phonon scattering

../../_images/fig_scat_rates395.png

(b) Phonon scattering rates

Cumulative and spectral thermal conductivity

../../_images/fig_cumu_frequency396.png

(a) Spectral and cumulative thermal conductivity w.r.t frequency

../../_images/fig_cumu_mfp396.png

(b) Spectral and cumulative thermal conductivity w.r.t MFP

Force constants

../../_images/fig_fc2526.png

(a) Force constants w.r.t atomic distance

Summary

../../_images/fig_kappa776.png

(a) Temperature-dependent lattice thermal conductivity

../../_images/fig_times892.png

(b) Computation time