mp-10410/Ba4Sm2Cd3S10/anharm

Harmonic properties

../../_images/fig_bandos_pr559.png

(a) Phonon dispersion with participation ratio and DOS

../../_images/fig_thermo559.png

(b) Thermodynamic properties

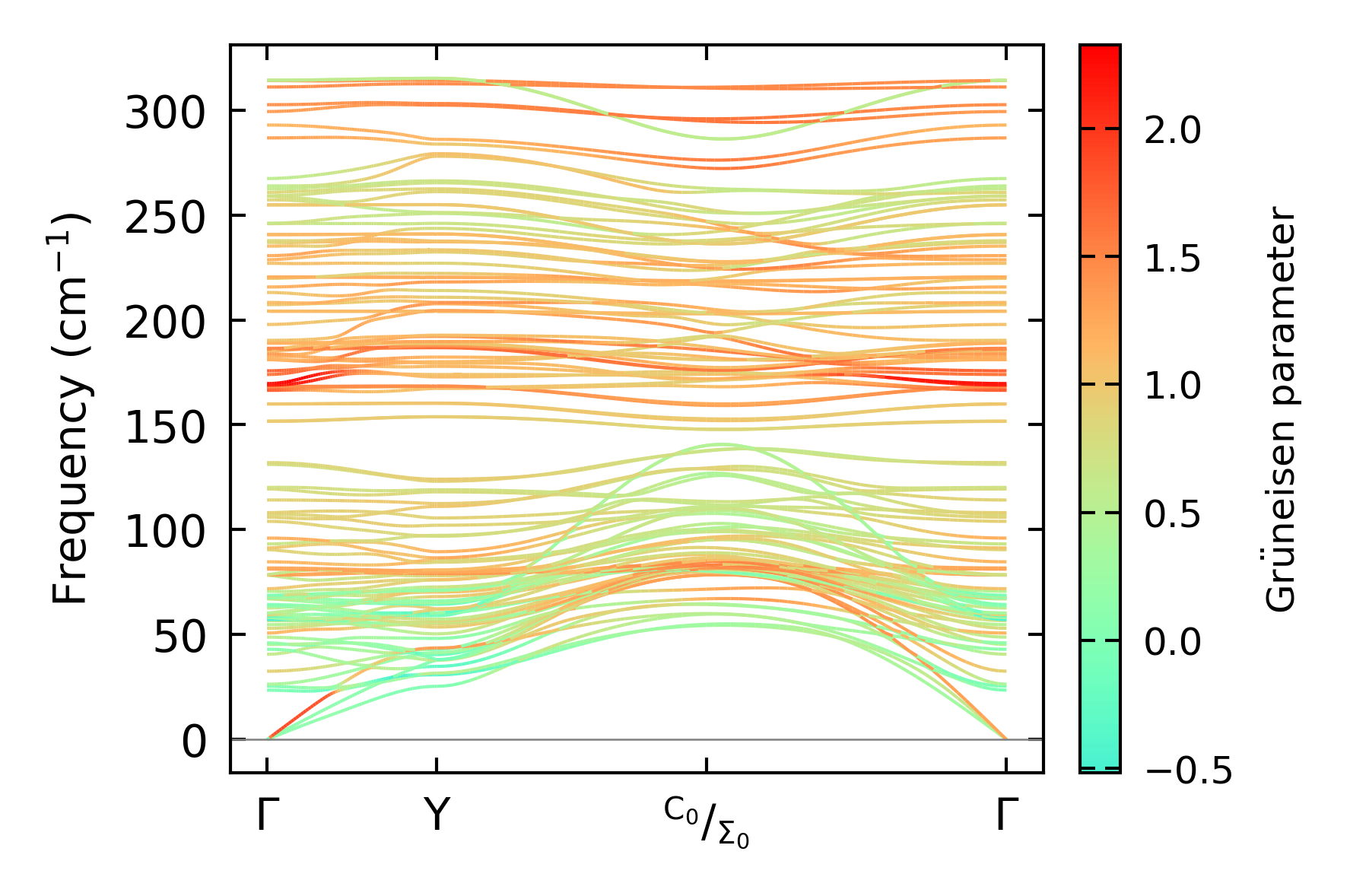
Grüneisen parameters

../../_images/fig_gru_all375.png

(a) Grüneisen parameters

../../_images/fig_gruneisen375.png

(b) Phonon dispersion with Grüneisen parameters

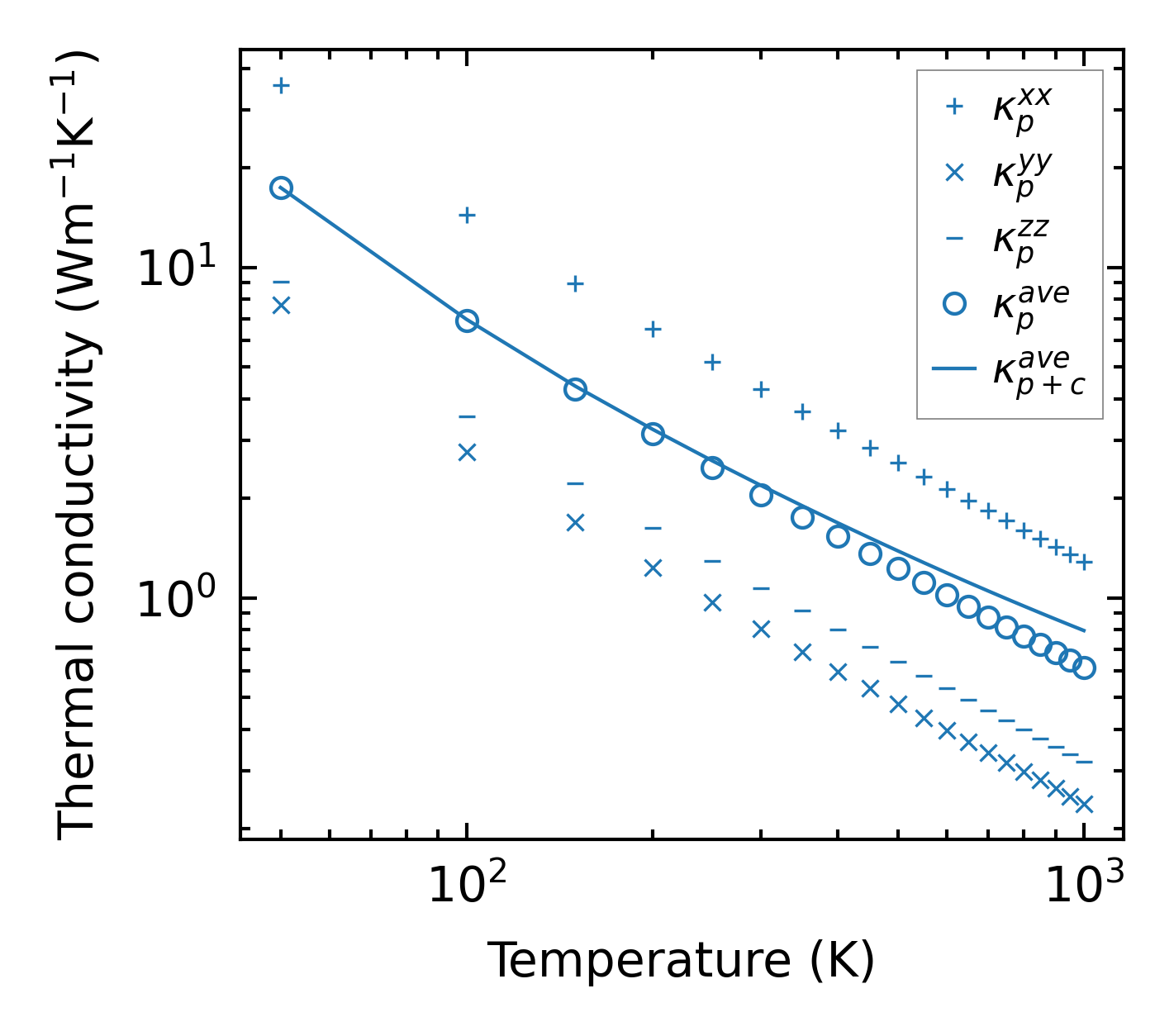
Thermal conductivity

3-phonon (LASSO) — q-mesh: 10x10x3, supercell: 1x1x1

../../_images/fig_kappa727.png

(a) Temperature-dependent lattice thermal conductivity

../../_images/fig_kappa_vs_grain_size379.png

(b) Peierls lattice thermal conductivity w.r.t grain size

Phonon lifetime and scattering rates

../../_images/fig_lifetime373.png

(a) Phonon lifetime due to phonon-phonon scattering

../../_images/fig_scat_rates372.png

(b) Phonon scattering rates

Cumulative and spectral thermal conductivity

../../_images/fig_cumu_frequency373.png

(a) Spectral and cumulative thermal conductivity w.r.t frequency

../../_images/fig_cumu_mfp373.png

(b) Spectral and cumulative thermal conductivity w.r.t MFP

Force constants

../../_images/fig_fc2479.png

(a) Force constants w.r.t atomic distance

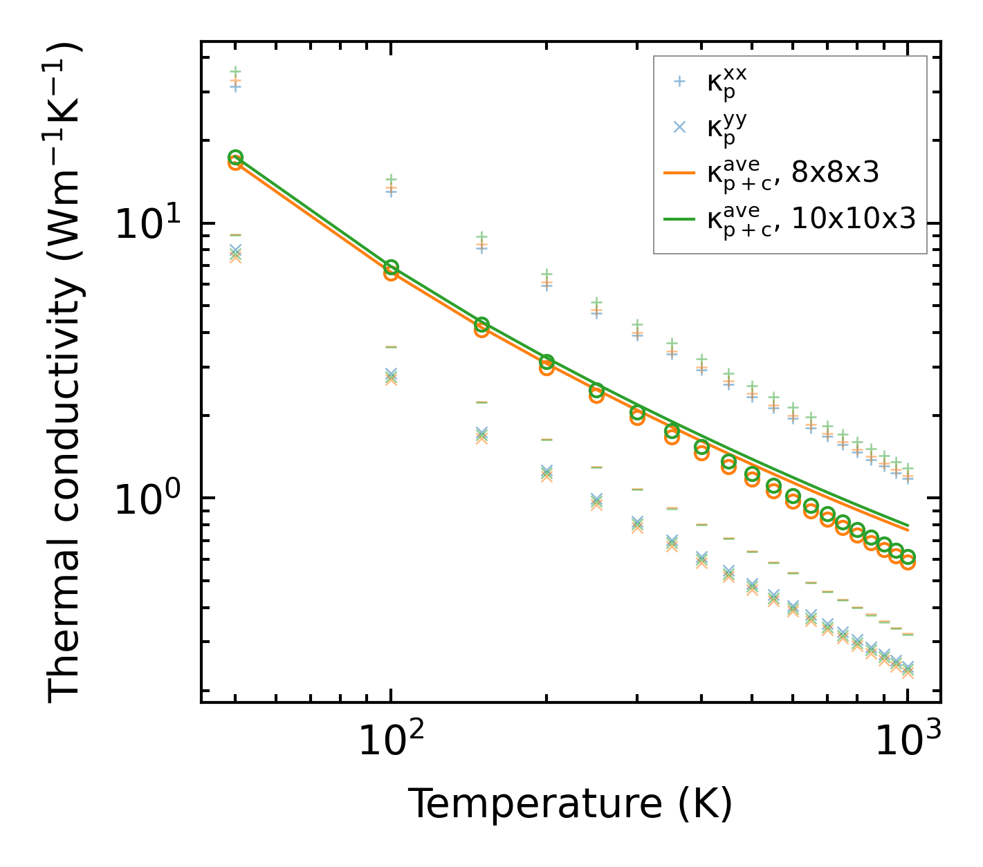
Summary

../../_images/fig_kappa728.png

(a) Temperature-dependent lattice thermal conductivity

../../_images/fig_times825.png

(b) Computation time