mp-10932/ErSF/anharm

Harmonic properties

../../_images/fig_bandos_pr678.png

(a) Phonon dispersion with participation ratio and DOS

../../_images/fig_thermo678.png

(b) Thermodynamic properties

Grüneisen parameters

../../_images/fig_gru_all449.png

(a) Grüneisen parameters

../../_images/fig_gruneisen449.png

(b) Phonon dispersion with Grüneisen parameters

Thermal conductivity

3-phonon (LASSO) — q-mesh: 19x19x10, supercell: 3x3x2

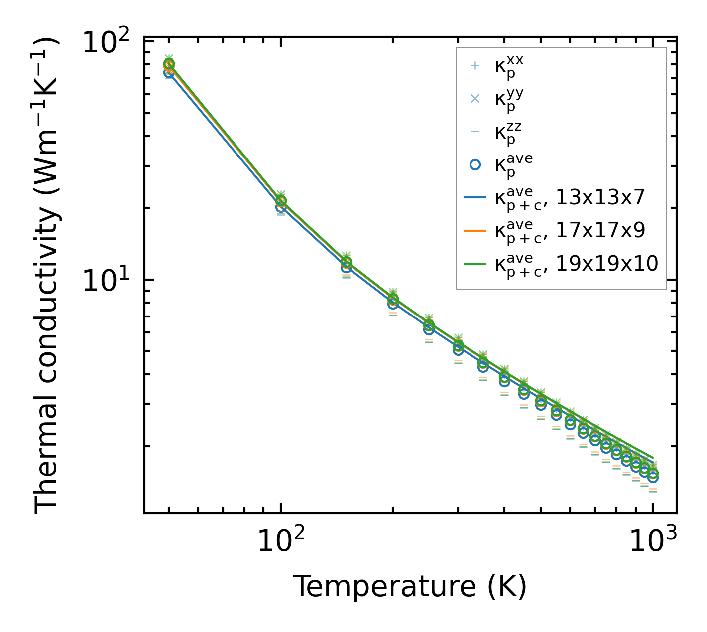
../../_images/fig_kappa873.png

(a) Temperature-dependent lattice thermal conductivity

../../_images/fig_kappa_vs_grain_size456.png

(b) Peierls lattice thermal conductivity w.r.t grain size

Phonon lifetime and scattering rates

../../_images/fig_lifetime447.png

(a) Phonon lifetime due to phonon-phonon scattering

../../_images/fig_scat_rates446.png

(b) Phonon scattering rates

Cumulative and spectral thermal conductivity

../../_images/fig_cumu_frequency447.png

(a) Spectral and cumulative thermal conductivity w.r.t frequency

../../_images/fig_cumu_mfp447.png

(b) Spectral and cumulative thermal conductivity w.r.t MFP

Force constants

../../_images/fig_fc2589.png

(a) Force constants w.r.t atomic distance

Summary

../../_images/fig_kappa874.png

(a) Temperature-dependent lattice thermal conductivity

../../_images/fig_times978.png

(b) Computation time