mp-10733/Sm2O3/anharm

Equation of state

../../_images/fig_bm224.png

(a) Equation of state

Harmonic properties

../../_images/fig_bandos_pr635.png

(a) Phonon dispersion with participation ratio and DOS

../../_images/fig_thermo635.png

(b) Thermodynamic properties

Grüneisen parameters

../../_images/fig_gru_all415.png

(a) Grüneisen parameters

../../_images/fig_gruneisen415.png

(b) Phonon dispersion with Grüneisen parameters

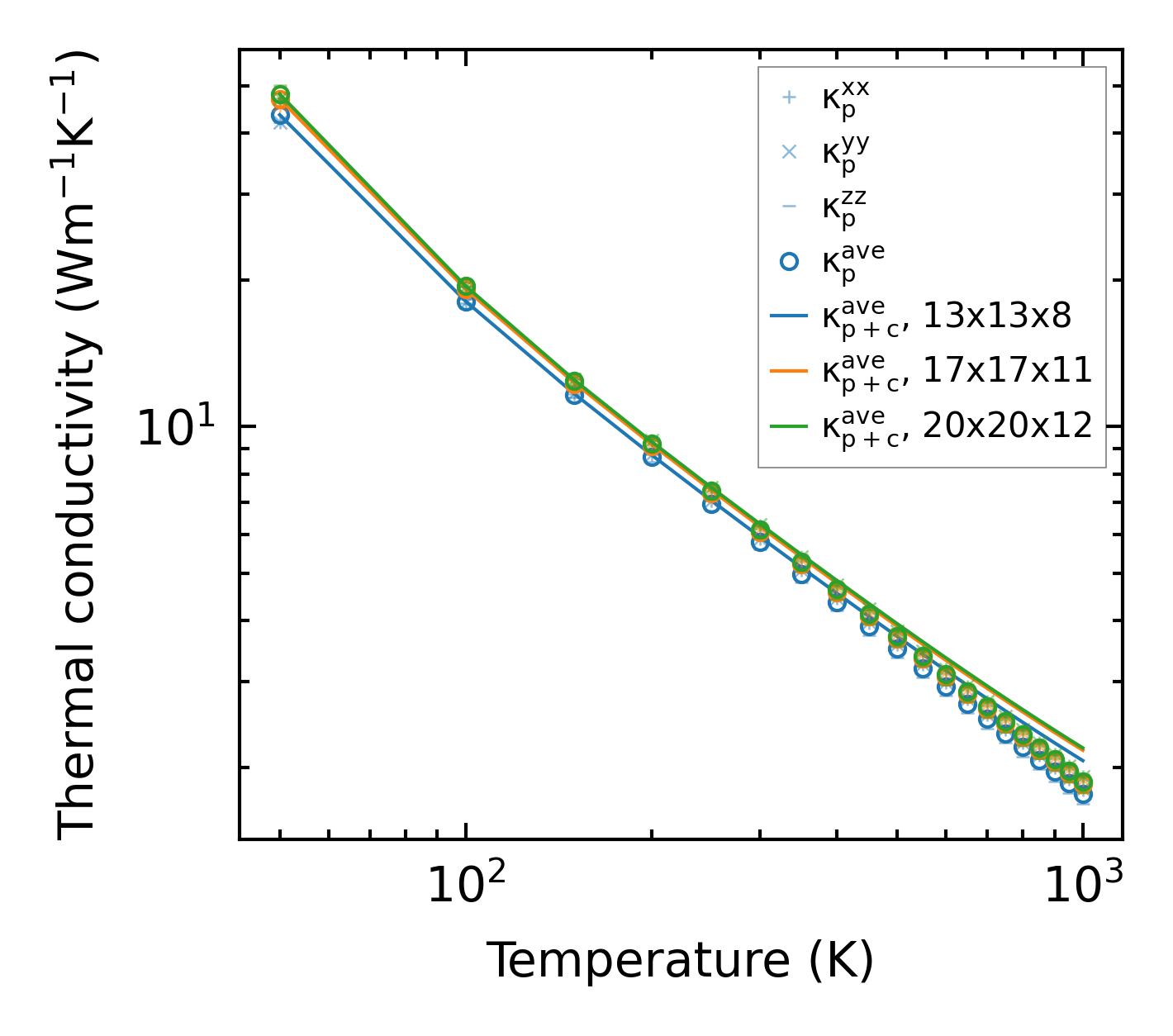
Thermal conductivity

3-phonon (LASSO) — q-mesh: 20x20x12, supercell: 3x3x2

../../_images/fig_kappa807.png

(a) Temperature-dependent lattice thermal conductivity

../../_images/fig_kappa_vs_grain_size421.png

(b) Peierls lattice thermal conductivity w.r.t grain size

Phonon lifetime and scattering rates

../../_images/fig_lifetime413.png

(a) Phonon lifetime due to phonon-phonon scattering

../../_images/fig_scat_rates412.png

(b) Phonon scattering rates

Cumulative and spectral thermal conductivity

../../_images/fig_cumu_frequency413.png

(a) Spectral and cumulative thermal conductivity w.r.t frequency

../../_images/fig_cumu_mfp413.png

(b) Spectral and cumulative thermal conductivity w.r.t MFP

Force constants

../../_images/fig_fc2549.png

(a) Force constants w.r.t atomic distance

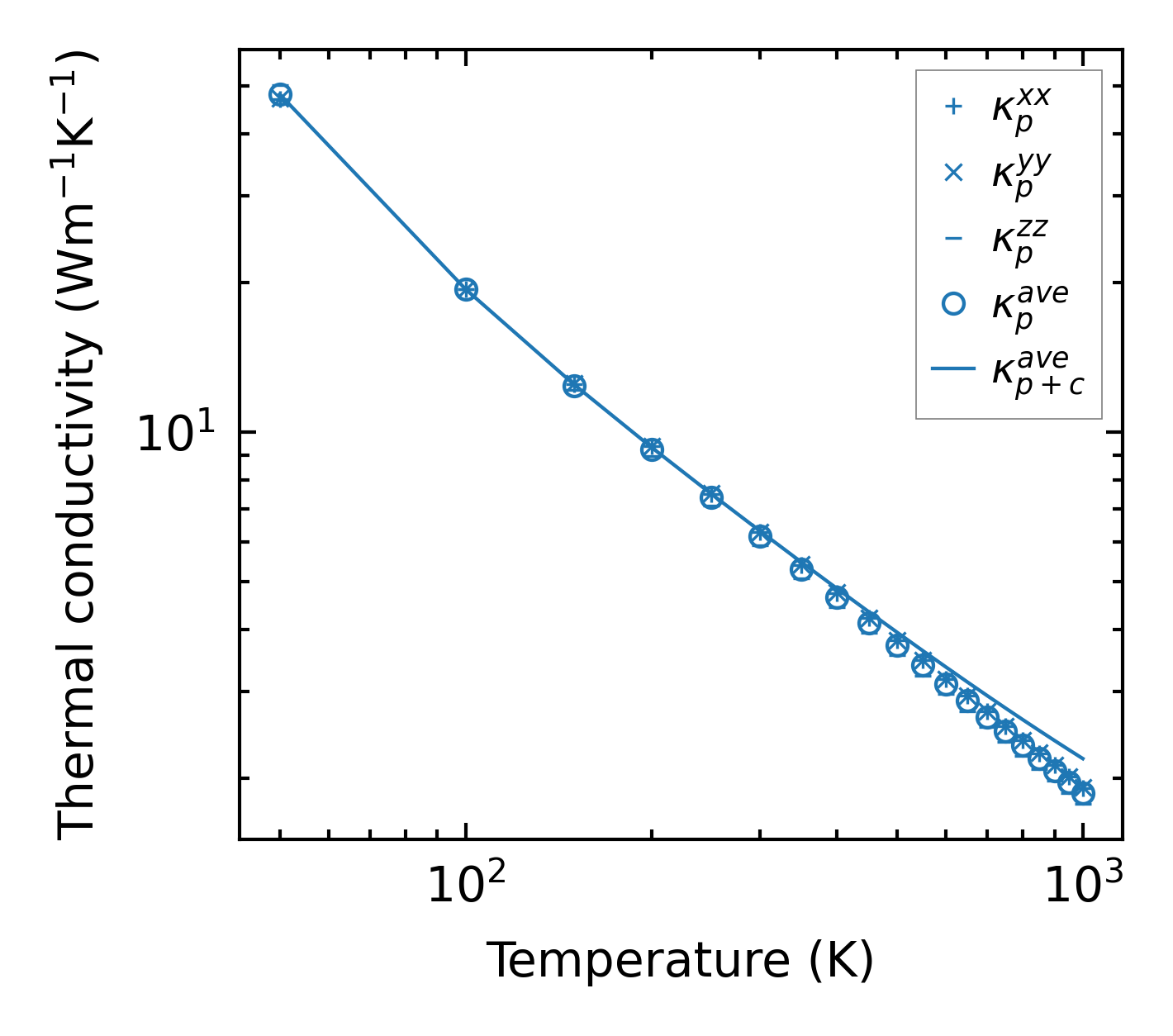
Summary

../../_images/fig_kappa808.png

(a) Temperature-dependent lattice thermal conductivity

../../_images/fig_times929.png

(b) Computation time