mp-10336/BaYCuTe3/anharm

Harmonic properties

../../_images/fig_bandos_pr538.png

(a) Phonon dispersion with participation ratio and DOS

../../_images/fig_thermo538.png

(b) Thermodynamic properties

Grüneisen parameters

../../_images/fig_gru_all366.png

(a) Grüneisen parameters

../../_images/fig_gruneisen366.png

(b) Phonon dispersion with Grüneisen parameters

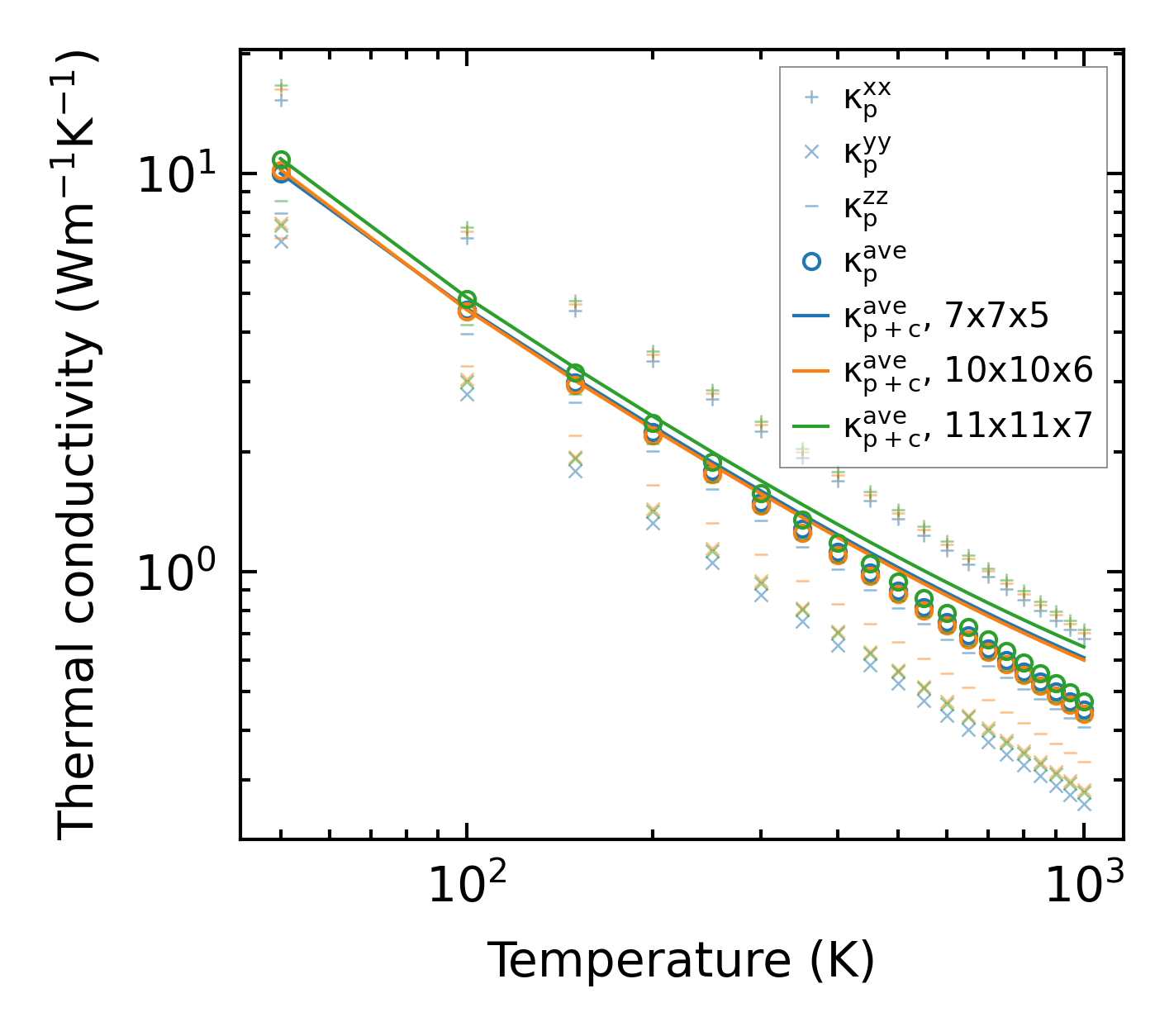
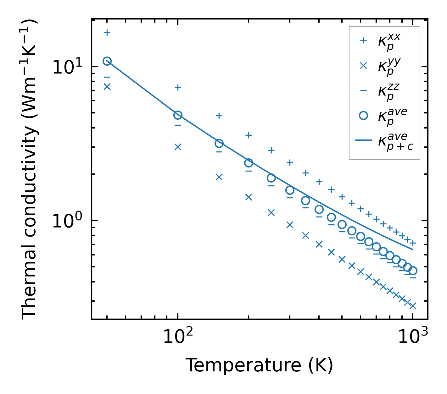
Thermal conductivity

3-phonon (LASSO) — q-mesh: 11x11x7, supercell: 3x1x2

../../_images/fig_kappa710.png

(a) Temperature-dependent lattice thermal conductivity

../../_images/fig_kappa_vs_grain_size370.png

(b) Peierls lattice thermal conductivity w.r.t grain size

Phonon lifetime and scattering rates

../../_images/fig_lifetime364.png

(a) Phonon lifetime due to phonon-phonon scattering

../../_images/fig_scat_rates363.png

(b) Phonon scattering rates

Cumulative and spectral thermal conductivity

../../_images/fig_cumu_frequency364.png

(a) Spectral and cumulative thermal conductivity w.r.t frequency

../../_images/fig_cumu_mfp364.png

(b) Spectral and cumulative thermal conductivity w.r.t MFP

Force constants

../../_images/fig_fc2458.png

(a) Force constants w.r.t atomic distance

Summary

../../_images/fig_kappa711.png

(a) Temperature-dependent lattice thermal conductivity

../../_images/fig_times800.png

(b) Computation time