mp-27999-2/K5CuSb2/anharm

Equation of state

../../_images/fig_bm5861.png

(a) Equation of state

Harmonic properties

../../_images/fig_bandos_pr11997.png

(a) Phonon dispersion with participation ratio and DOS

../../_images/fig_thermo11997.png

(b) Thermodynamic properties

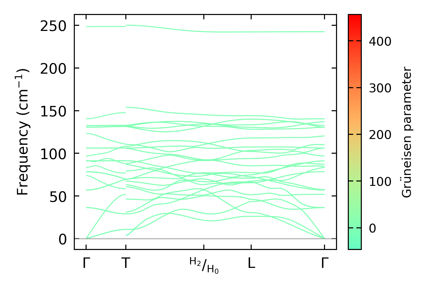
Grüneisen parameters

../../_images/fig_gru_all5001.png

(a) Grüneisen parameters

../../_images/fig_gruneisen5001.png

(b) Phonon dispersion with Grüneisen parameters

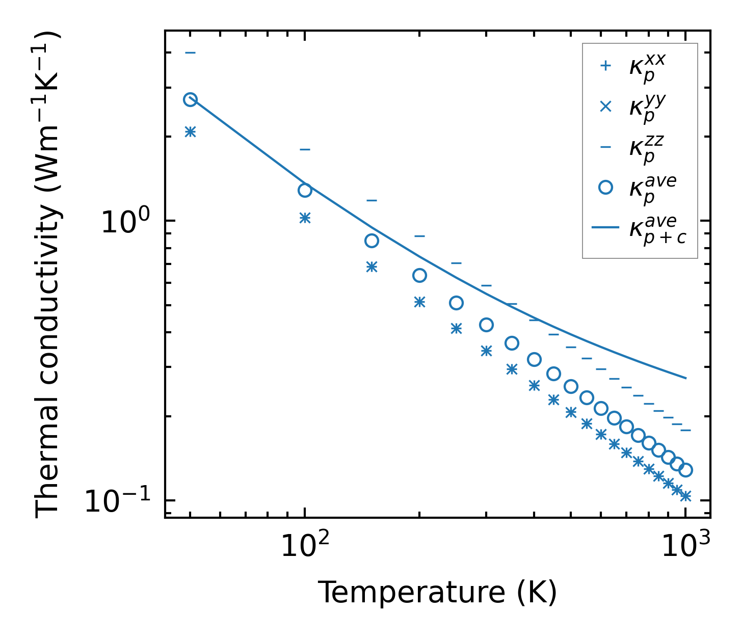
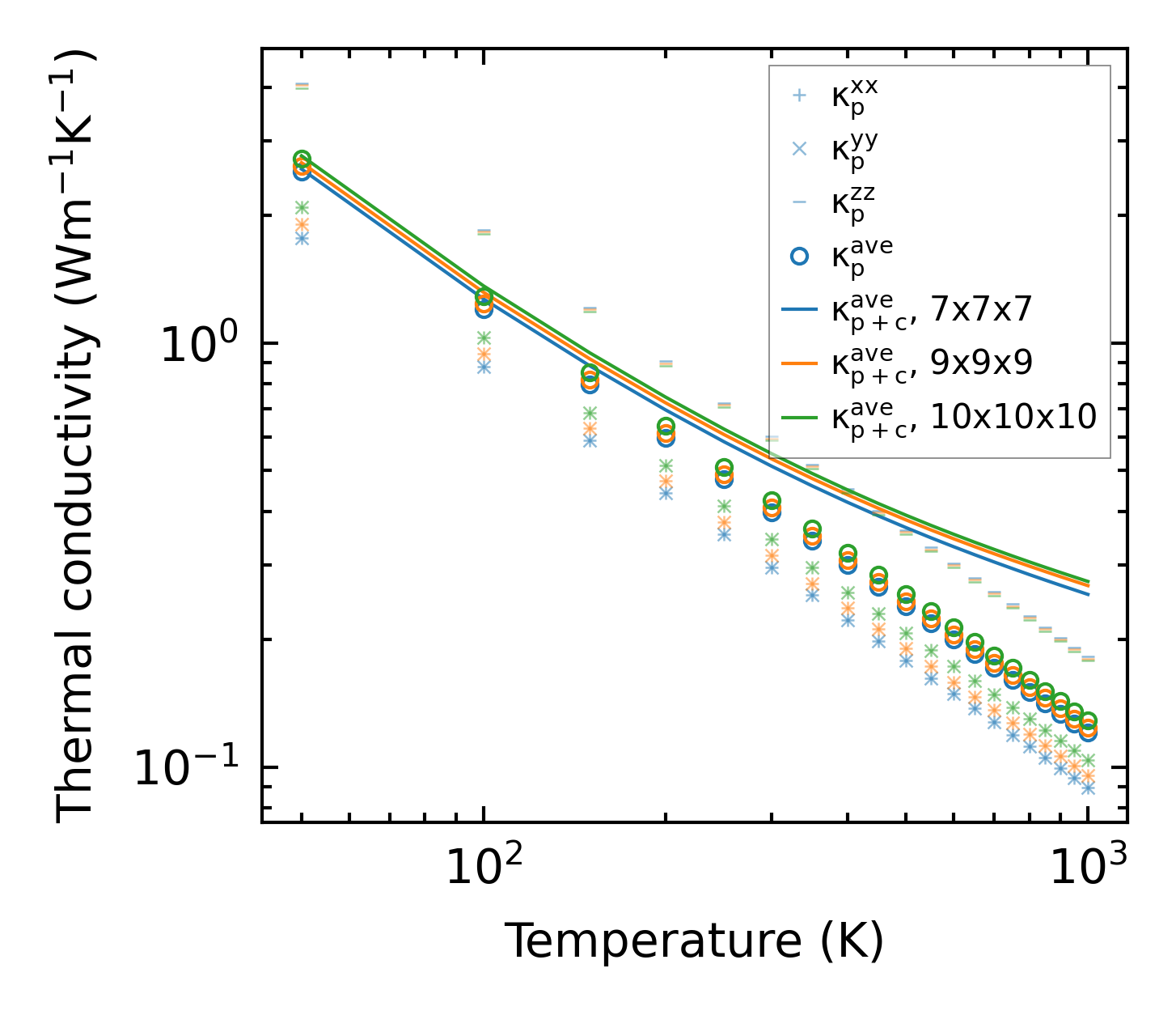
Thermal conductivity

3-phonon (LASSO) — q-mesh: 10x10x10, supercell: 2x2x1

../../_images/fig_kappa9426.png

(a) Temperature-dependent lattice thermal conductivity

../../_images/fig_kappa_vs_grain_size5060.png

(b) Peierls lattice thermal conductivity w.r.t grain size

Phonon lifetime and scattering rates

../../_images/fig_lifetime4951.png

(a) Phonon lifetime due to phonon-phonon scattering

../../_images/fig_scat_rates4950.png

(b) Phonon scattering rates

Cumulative and spectral thermal conductivity

../../_images/fig_cumu_frequency4951.png

(a) Spectral and cumulative thermal conductivity w.r.t frequency

../../_images/fig_cumu_mfp4950.png

(b) Spectral and cumulative thermal conductivity w.r.t MFP

Force constants

../../_images/fig_fc211700.png

(a) Force constants w.r.t atomic distance

Summary

../../_images/fig_kappa9427.png

(a) Temperature-dependent lattice thermal conductivity

../../_images/fig_times20339.png

(b) Computation time