mp-27948/GeBi2Te4/anharm

Harmonic properties

../../_images/fig_bandos_pr11973.png

(a) Phonon dispersion with participation ratio and DOS

../../_images/fig_thermo11973.png

(b) Thermodynamic properties

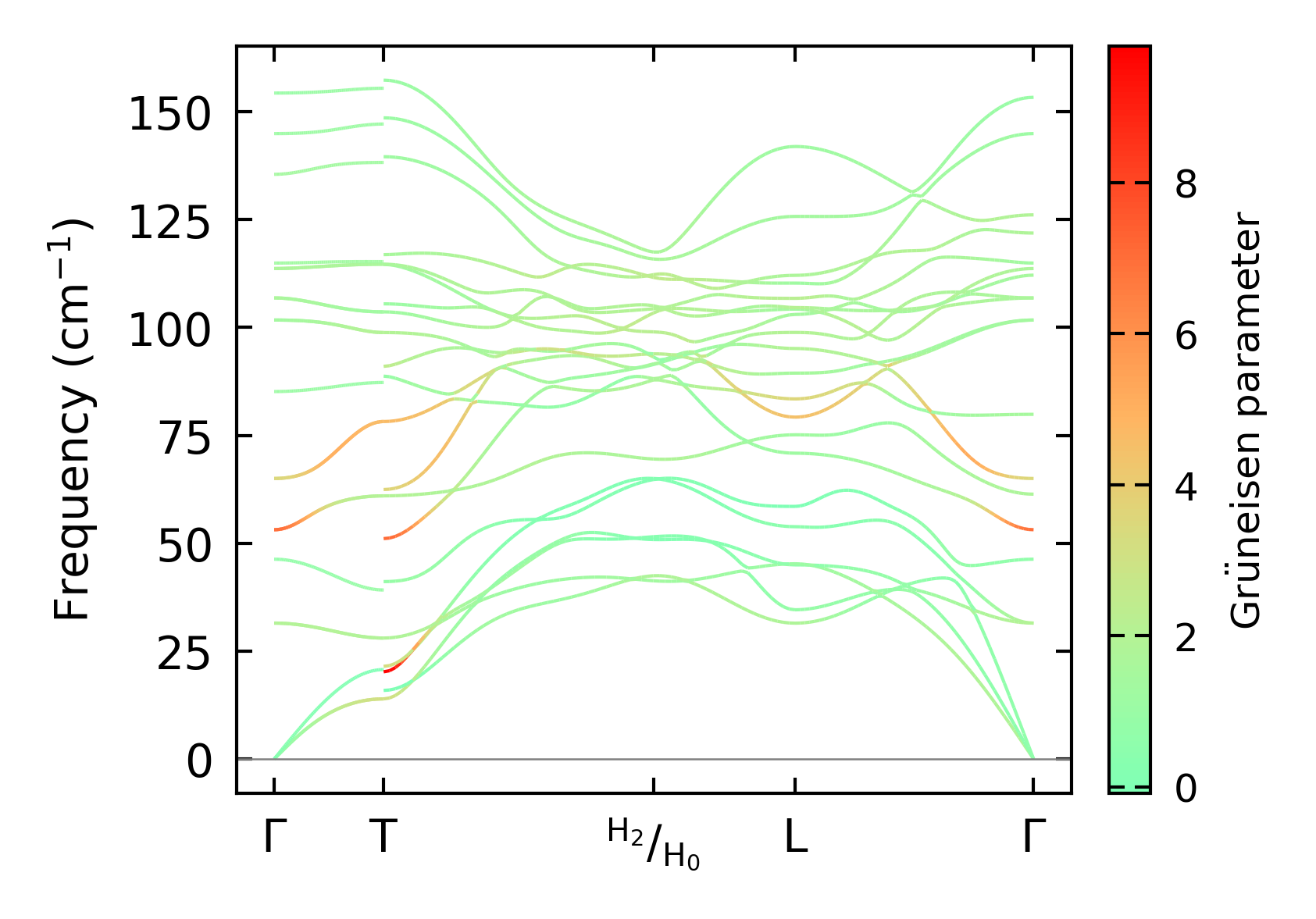
Grüneisen parameters

../../_images/fig_gru_all4992.png

(a) Grüneisen parameters

../../_images/fig_gruneisen4992.png

(b) Phonon dispersion with Grüneisen parameters

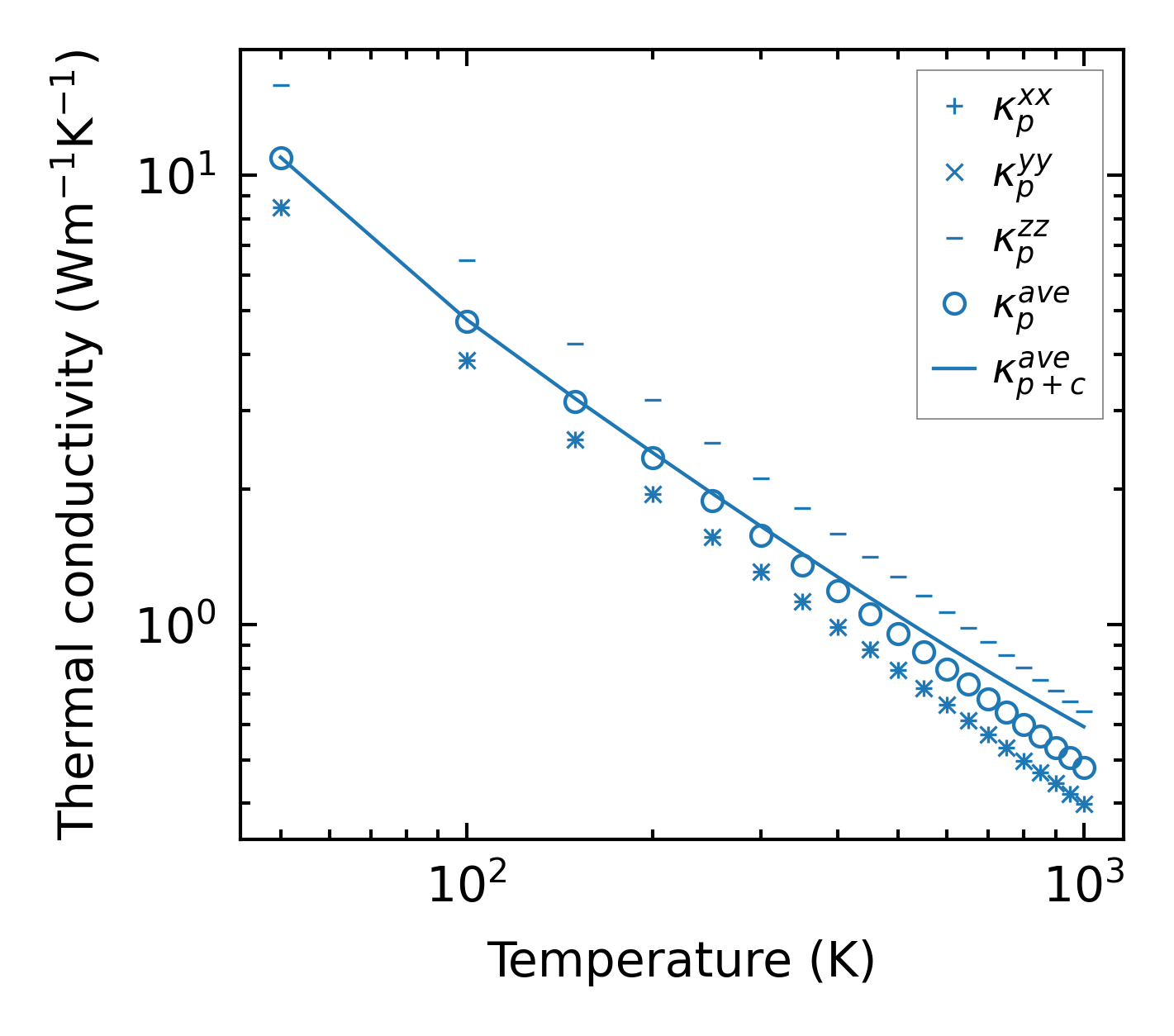
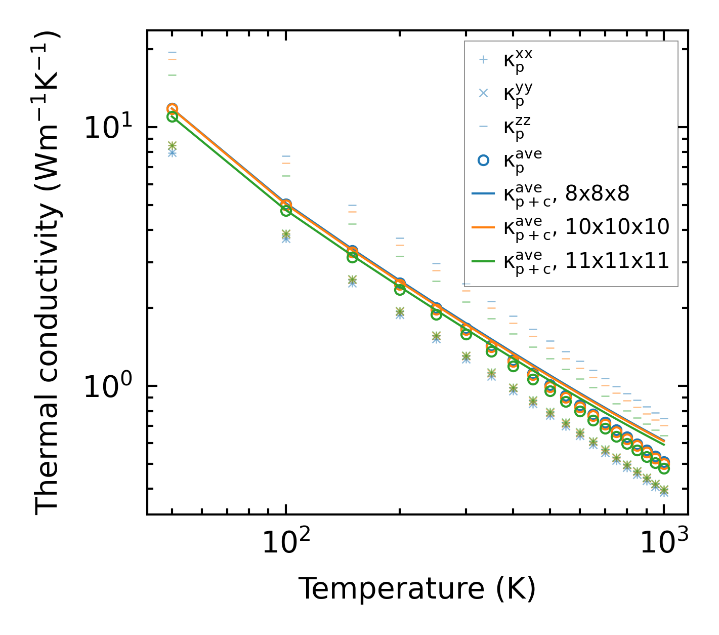
Thermal conductivity

3-phonon (LASSO) — q-mesh: 11x11x11, supercell: 2x2x1

../../_images/fig_kappa9408.png

(a) Temperature-dependent lattice thermal conductivity

../../_images/fig_kappa_vs_grain_size5051.png

(b) Peierls lattice thermal conductivity w.r.t grain size

Phonon lifetime and scattering rates

../../_images/fig_lifetime4942.png

(a) Phonon lifetime due to phonon-phonon scattering

../../_images/fig_scat_rates4941.png

(b) Phonon scattering rates

Cumulative and spectral thermal conductivity

../../_images/fig_cumu_frequency4942.png

(a) Spectral and cumulative thermal conductivity w.r.t frequency

../../_images/fig_cumu_mfp4941.png

(b) Spectral and cumulative thermal conductivity w.r.t MFP

Force constants

../../_images/fig_fc211676.png

(a) Force constants w.r.t atomic distance

Summary

../../_images/fig_kappa9409.png

(a) Temperature-dependent lattice thermal conductivity

../../_images/fig_times20304.png

(b) Computation time