mp-27827/Rb2TiCl6/anharm

Harmonic properties

../../_images/fig_bandos_pr11917.png

(a) Phonon dispersion with participation ratio and DOS

../../_images/fig_thermo11917.png

(b) Thermodynamic properties

Grüneisen parameters

../../_images/fig_gru_all4967.png

(a) Grüneisen parameters

../../_images/fig_gruneisen4967.png

(b) Phonon dispersion with Grüneisen parameters

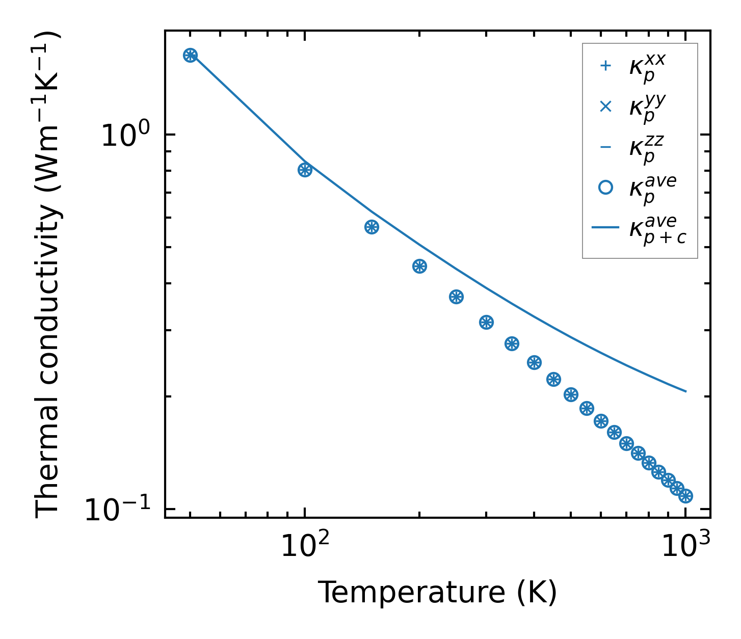
Thermal conductivity

3-phonon — q-mesh: 11x11x11, supercell: 1x1x1

../../_images/fig_kappa9361.png

(a) Temperature-dependent lattice thermal conductivity

../../_images/fig_kappa_vs_grain_size5025.png

(b) Peierls lattice thermal conductivity w.r.t grain size

Phonon lifetime and scattering rates

../../_images/fig_lifetime4917.png

(a) Phonon lifetime due to phonon-phonon scattering

../../_images/fig_scat_rates4916.png

(b) Phonon scattering rates

Cumulative and spectral thermal conductivity

../../_images/fig_cumu_frequency4917.png

(a) Spectral and cumulative thermal conductivity w.r.t frequency

../../_images/fig_cumu_mfp4916.png

(b) Spectral and cumulative thermal conductivity w.r.t MFP

Force constants

../../_images/fig_fc3290.png

(a) Force constants w.r.t atomic distance

Summary

../../_images/fig_kappa9362.png

(a) Temperature-dependent lattice thermal conductivity

../../_images/fig_times20220.png

(b) Computation time