mp-27272-3/Ca3PI3/anharm

Equation of state

../../_images/fig_bm6076.png

(a) Equation of state

Harmonic properties

../../_images/fig_bandos_pr12318.png

(a) Phonon dispersion with participation ratio and DOS

../../_images/fig_bandos16520.png

(b) Phonon dispersion and DOS

../../_images/fig_thermo12318.png

(c) Thermodynamic properties

Grüneisen parameters

../../_images/fig_gru_all5126.png

(a) Grüneisen parameters

../../_images/fig_gruneisen5126.png

(b) Phonon dispersion with Grüneisen parameters

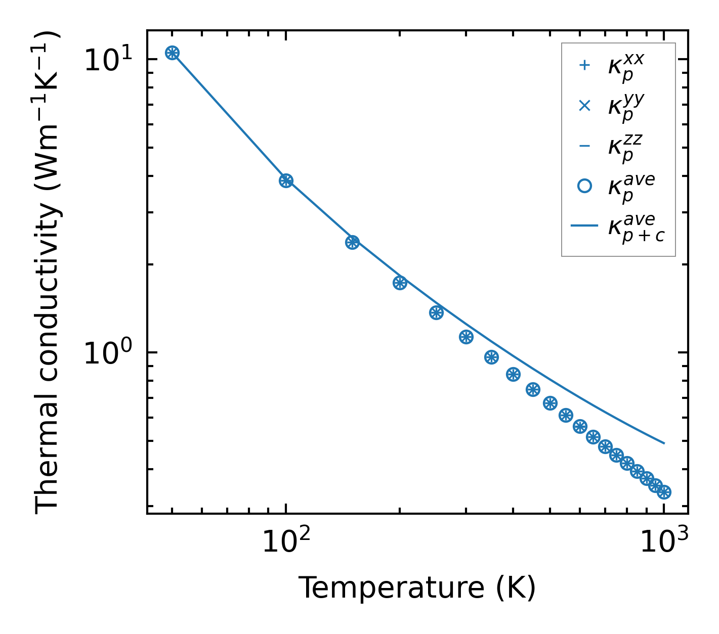
Thermal conductivity

3-phonon (LASSO), supercell 2x2x2 — q-mesh: 7x7x7, supercell: 2x2x2

../../_images/fig_kappa9644.png

(a) Temperature-dependent lattice thermal conductivity

../../_images/fig_kappa_vs_grain_size5185.png

(b) Peierls lattice thermal conductivity w.r.t grain size

Phonon lifetime and scattering rates

../../_images/fig_lifetime5075.png

(a) Phonon lifetime due to phonon-phonon scattering

../../_images/fig_scat_rates5074.png

(b) Phonon scattering rates

Cumulative and spectral thermal conductivity

../../_images/fig_cumu_frequency5075.png

(a) Spectral and cumulative thermal conductivity w.r.t frequency

../../_images/fig_cumu_mfp5074.png

(b) Spectral and cumulative thermal conductivity w.r.t MFP

Force constants

../../_images/fig_fc212017.png

(a) Force constants w.r.t atomic distance

Summary

../../_images/fig_times20897.png

(a) Computation time