mp-27865/KMgCl3/anharm

Harmonic properties

../../_images/fig_bandos_pr11942.png

(a) Phonon dispersion with participation ratio and DOS

../../_images/fig_thermo11942.png

(b) Thermodynamic properties

Grüneisen parameters

../../_images/fig_gru_all4978.png

(a) Grüneisen parameters

../../_images/fig_gruneisen4978.png

(b) Phonon dispersion with Grüneisen parameters

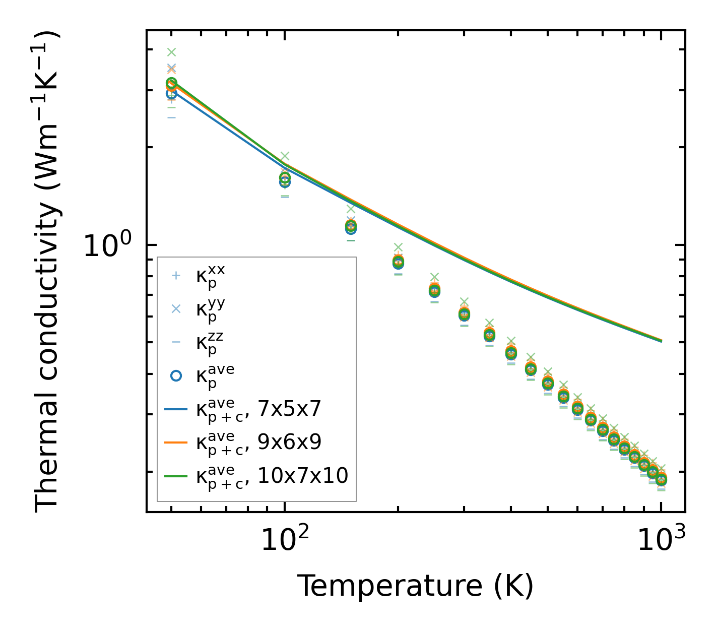
Thermal conductivity

3-phonon (LASSO) — q-mesh: 10x7x10, supercell: 2x1x2

../../_images/fig_kappa9383.png

(a) Temperature-dependent lattice thermal conductivity

../../_images/fig_kappa_vs_grain_size5037.png

(b) Peierls lattice thermal conductivity w.r.t grain size

Phonon lifetime and scattering rates

../../_images/fig_lifetime4928.png

(a) Phonon lifetime due to phonon-phonon scattering

../../_images/fig_scat_rates4927.png

(b) Phonon scattering rates

Cumulative and spectral thermal conductivity

../../_images/fig_cumu_frequency4928.png

(a) Spectral and cumulative thermal conductivity w.r.t frequency

../../_images/fig_cumu_mfp4927.png

(b) Spectral and cumulative thermal conductivity w.r.t MFP

Force constants

../../_images/fig_fc211647.png

(a) Force constants w.r.t atomic distance

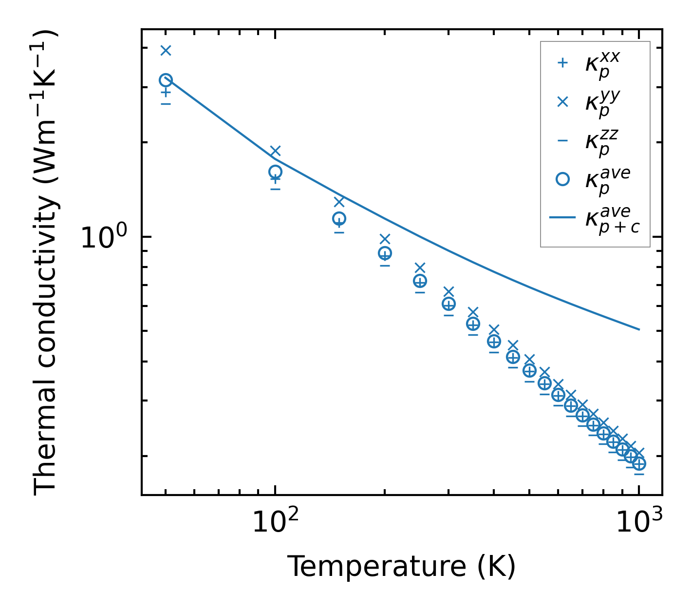
Summary

../../_images/fig_kappa9384.png

(a) Temperature-dependent lattice thermal conductivity

../../_images/fig_times20254.png

(b) Computation time