mp-27453/Li7SbO6/anharm

Equation of state

../../_images/fig_bm5929.png

(a) Equation of state

Harmonic properties

../../_images/fig_bandos_pr12101.png

(a) Phonon dispersion with participation ratio and DOS

../../_images/fig_bandos16187.png

(b) Phonon dispersion and DOS

../../_images/fig_thermo12101.png

(c) Thermodynamic properties

Grüneisen parameters

../../_images/fig_gru_all5050.png

(a) Grüneisen parameters

../../_images/fig_gruneisen5050.png

(b) Phonon dispersion with Grüneisen parameters

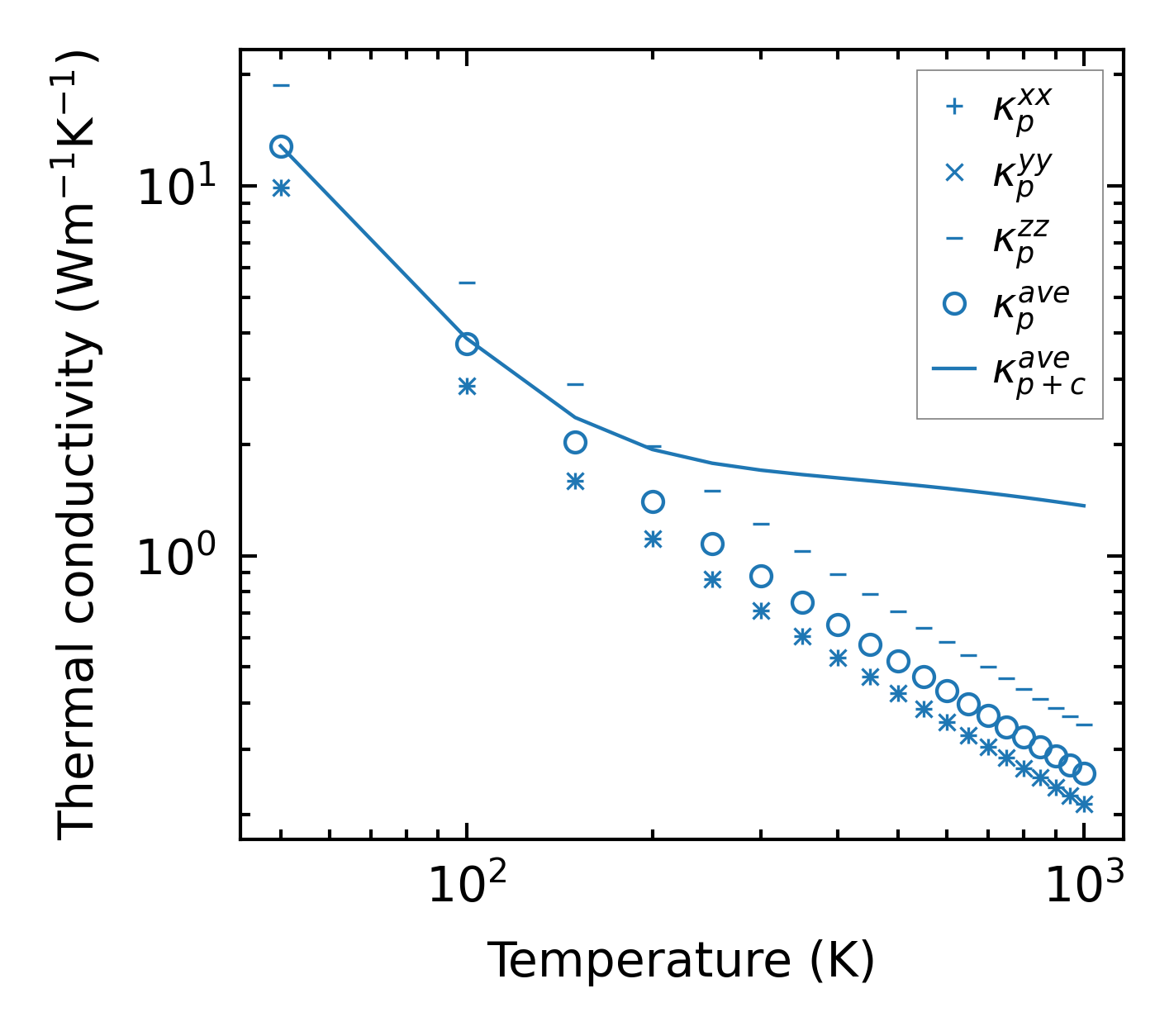
Thermal conductivity

3-phonon (LASSO), supercell 2x2x1 — q-mesh: 14x14x14, supercell: 2x2x1

../../_images/fig_kappa9507.png

(a) Temperature-dependent lattice thermal conductivity

../../_images/fig_kappa_vs_grain_size5109.png

(b) Peierls lattice thermal conductivity w.r.t grain size

Phonon lifetime and scattering rates

../../_images/fig_lifetime5000.png

(a) Phonon lifetime due to phonon-phonon scattering

../../_images/fig_scat_rates4999.png

(b) Phonon scattering rates

Cumulative and spectral thermal conductivity

../../_images/fig_cumu_frequency5000.png

(a) Spectral and cumulative thermal conductivity w.r.t frequency

../../_images/fig_cumu_mfp4999.png

(b) Spectral and cumulative thermal conductivity w.r.t MFP

Force constants

../../_images/fig_fc211802.png

(a) Force constants w.r.t atomic distance

Summary

../../_images/fig_times20504.png

(a) Computation time