mp-27779/HgMo6Cl14/anharm

Harmonic properties

../../_images/fig_bandos_pr11894.png

(a) Phonon dispersion with participation ratio and DOS

../../_images/fig_thermo11894.png

(b) Thermodynamic properties

Grüneisen parameters

../../_images/fig_gru_all4957.png

(a) Grüneisen parameters

../../_images/fig_gruneisen4957.png

(b) Phonon dispersion with Grüneisen parameters

Thermal conductivity

3-phonon (LASSO) — q-mesh: 5x5x5, supercell: 1x1x1

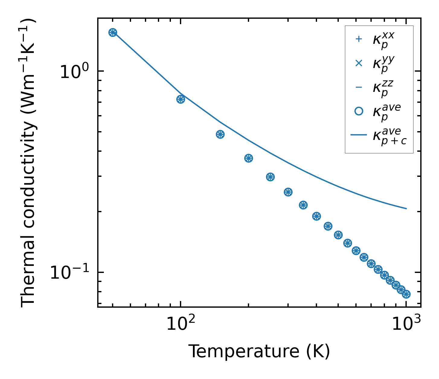
../../_images/fig_kappa9342.png

(a) Temperature-dependent lattice thermal conductivity

../../_images/fig_kappa_vs_grain_size5015.png

(b) Peierls lattice thermal conductivity w.r.t grain size

Phonon lifetime and scattering rates

../../_images/fig_lifetime4907.png

(a) Phonon lifetime due to phonon-phonon scattering

../../_images/fig_scat_rates4906.png

(b) Phonon scattering rates

Cumulative and spectral thermal conductivity

../../_images/fig_cumu_frequency4907.png

(a) Spectral and cumulative thermal conductivity w.r.t frequency

../../_images/fig_cumu_mfp4906.png

(b) Spectral and cumulative thermal conductivity w.r.t MFP

Force constants

../../_images/fig_fc211605.png

(a) Force constants w.r.t atomic distance

Summary

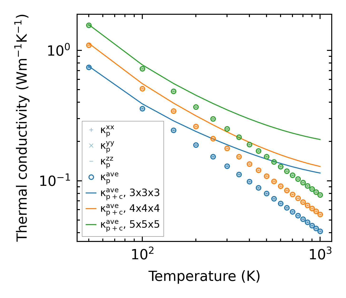
../../_images/fig_kappa9343.png

(a) Temperature-dependent lattice thermal conductivity

../../_images/fig_times20182.png

(b) Computation time