mp-27123-2/ErSeF/anharm

Equation of state

../../_images/fig_bm6031.png

(a) Equation of state

Harmonic properties

../../_images/fig_bandos_pr12254.png

(a) Phonon dispersion with participation ratio and DOS

../../_images/fig_bandos16426.png

(b) Phonon dispersion and DOS

../../_images/fig_thermo12254.png

(c) Thermodynamic properties

Grüneisen parameters

../../_images/fig_gru_all5105.png

(a) Grüneisen parameters

../../_images/fig_gruneisen5105.png

(b) Phonon dispersion with Grüneisen parameters

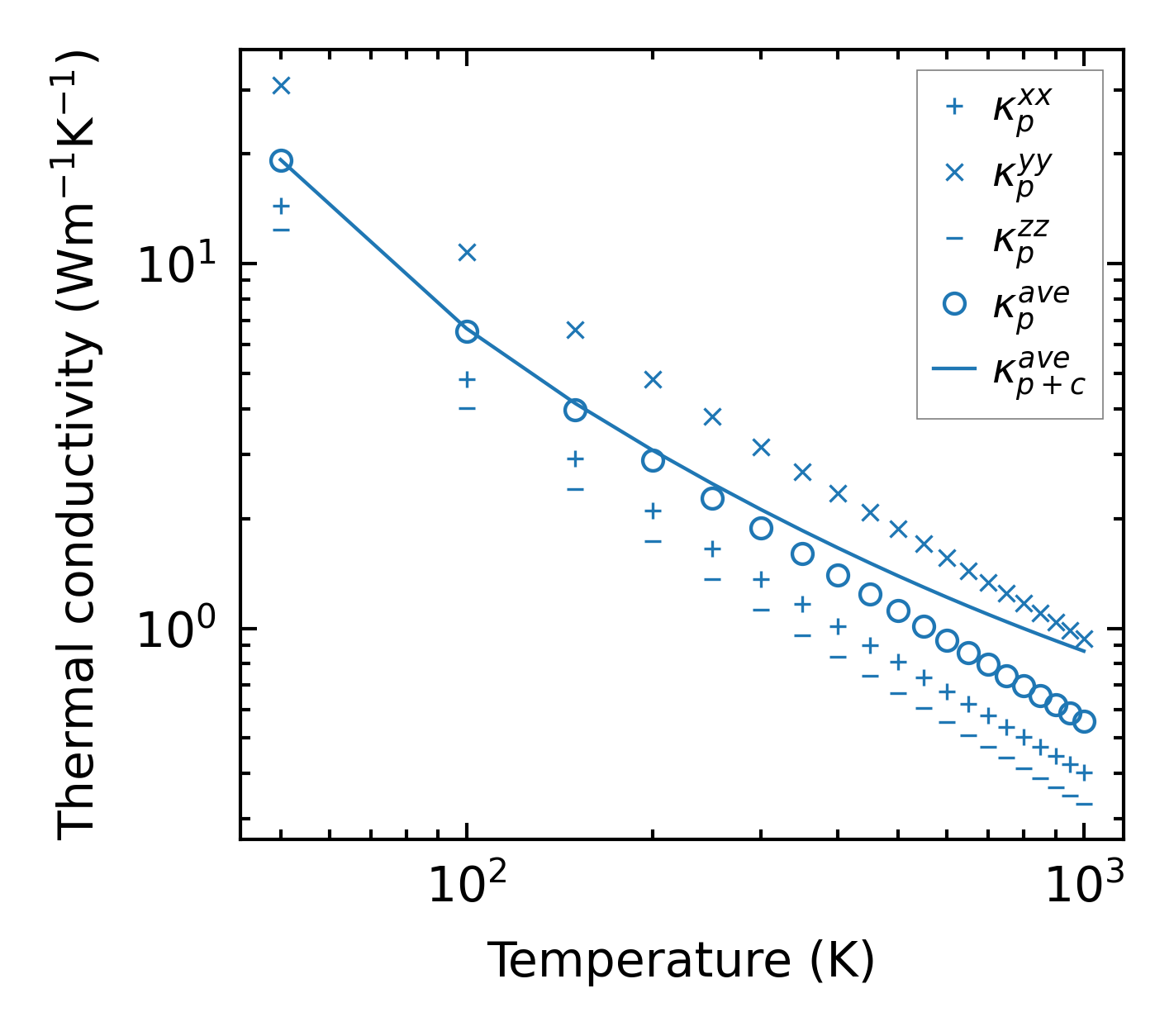
Thermal conductivity

3-phonon (LASSO), supercell 2x3x1 — q-mesh: 7x18x3, supercell: 2x3x1

../../_images/fig_kappa9605.png

(a) Temperature-dependent lattice thermal conductivity

../../_images/fig_kappa_vs_grain_size5164.png

(b) Peierls lattice thermal conductivity w.r.t grain size

Phonon lifetime and scattering rates

../../_images/fig_lifetime5054.png

(a) Phonon lifetime due to phonon-phonon scattering

../../_images/fig_scat_rates5053.png

(b) Phonon scattering rates

Cumulative and spectral thermal conductivity

../../_images/fig_cumu_frequency5054.png

(a) Spectral and cumulative thermal conductivity w.r.t frequency

../../_images/fig_cumu_mfp5053.png

(b) Spectral and cumulative thermal conductivity w.r.t MFP

Force constants

../../_images/fig_fc211953.png

(a) Force constants w.r.t atomic distance

Summary

../../_images/fig_times20785.png

(a) Computation time