mp-27252/TlCdI3/anharm

Harmonic properties

../../_images/fig_bandos_pr12308.png

(a) Phonon dispersion with participation ratio and DOS

../../_images/fig_thermo12308.png

(b) Thermodynamic properties

Grüneisen parameters

../../_images/fig_gru_all5120.png

(a) Grüneisen parameters

../../_images/fig_gruneisen5120.png

(b) Phonon dispersion with Grüneisen parameters

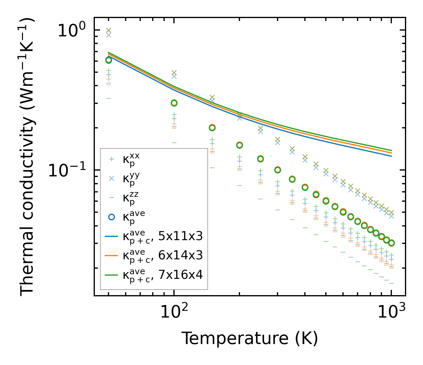
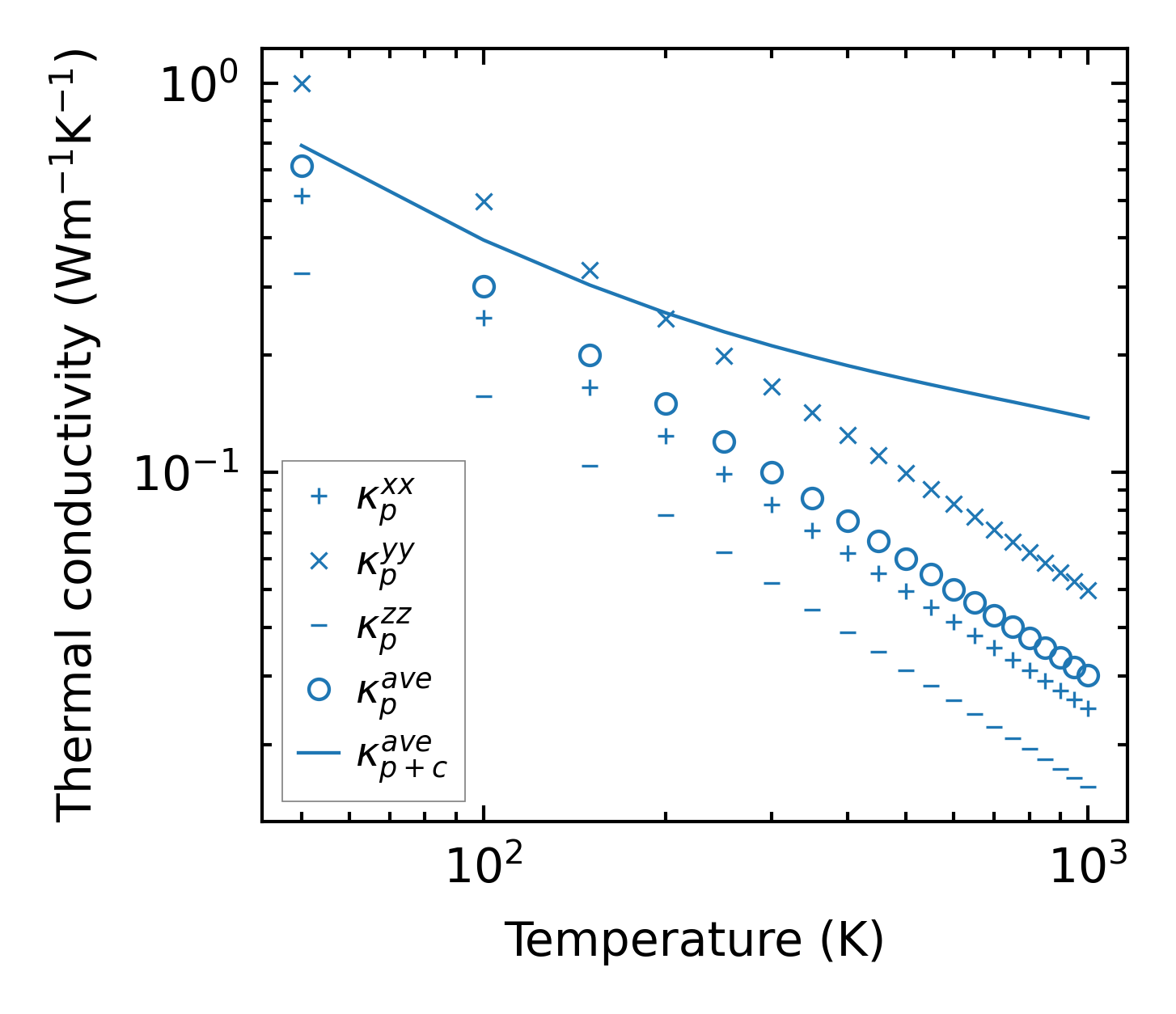
Thermal conductivity

3-phonon (LASSO) — q-mesh: 7x16x4, supercell: 2x3x1

../../_images/fig_kappa9633.png

(a) Temperature-dependent lattice thermal conductivity

../../_images/fig_kappa_vs_grain_size5179.png

(b) Peierls lattice thermal conductivity w.r.t grain size

Phonon lifetime and scattering rates

../../_images/fig_lifetime5069.png

(a) Phonon lifetime due to phonon-phonon scattering

../../_images/fig_scat_rates5068.png

(b) Phonon scattering rates

Cumulative and spectral thermal conductivity

../../_images/fig_cumu_frequency5069.png

(a) Spectral and cumulative thermal conductivity w.r.t frequency

../../_images/fig_cumu_mfp5068.png

(b) Spectral and cumulative thermal conductivity w.r.t MFP

Force constants

../../_images/fig_fc212007.png

(a) Force constants w.r.t atomic distance

Summary

../../_images/fig_kappa9634.png

(a) Temperature-dependent lattice thermal conductivity

../../_images/fig_times20882.png

(b) Computation time