mp-27743/BiF5/anharm

Harmonic properties

../../_images/fig_bandos_pr11880.png

(a) Phonon dispersion with participation ratio and DOS

../../_images/fig_thermo11880.png

(b) Thermodynamic properties

Grüneisen parameters

../../_images/fig_gru_all4951.png

(a) Grüneisen parameters

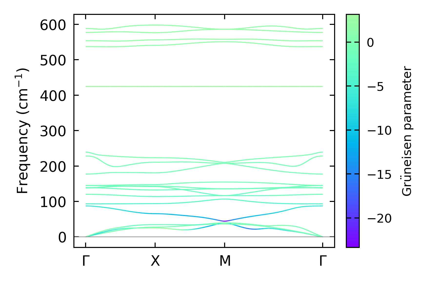
../../_images/fig_gruneisen4951.png

(b) Phonon dispersion with Grüneisen parameters

Thermal conductivity

3-phonon (LASSO) — q-mesh: 15x15x15, supercell: 2x2x3

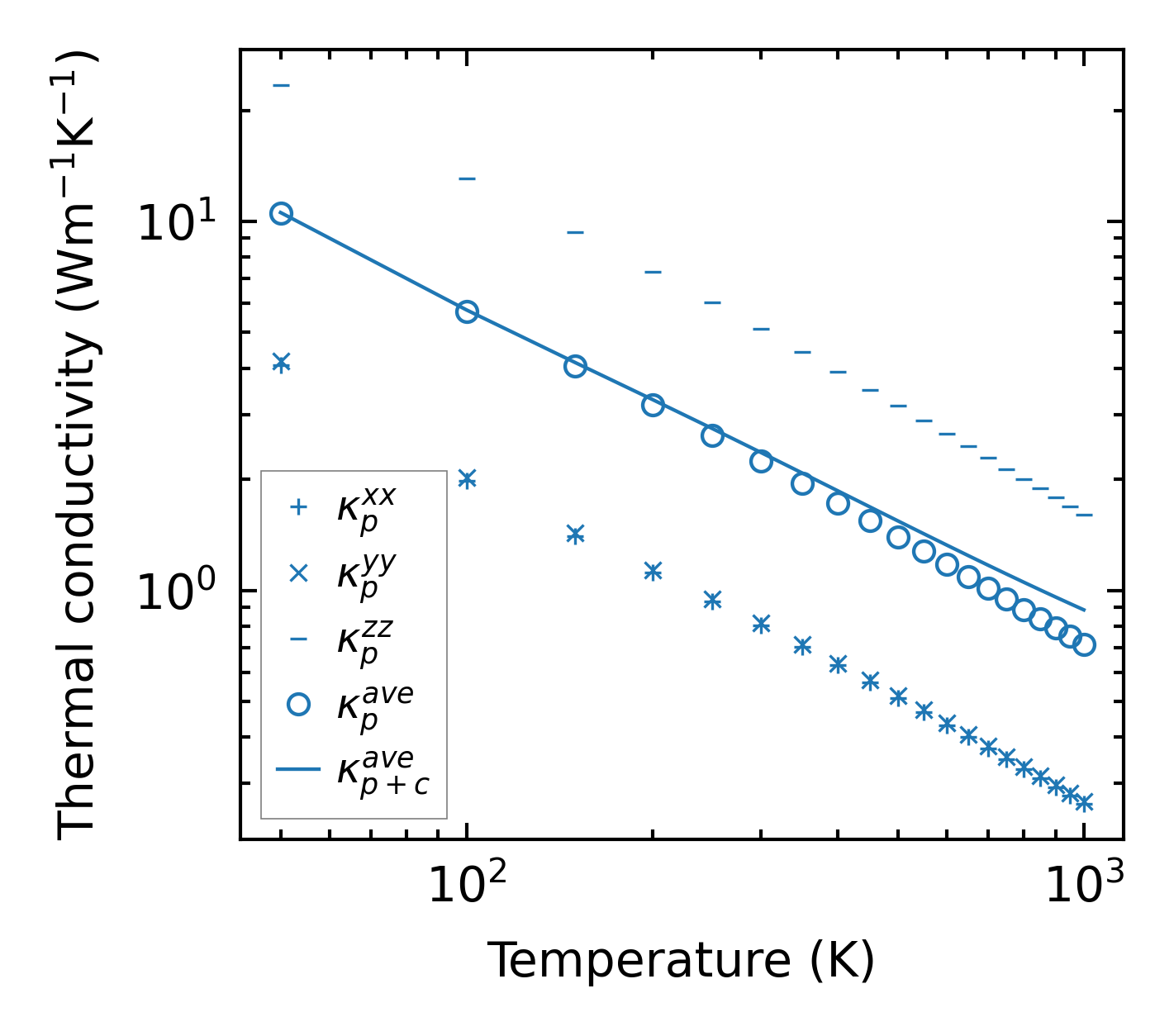
../../_images/fig_kappa9332.png

(a) Temperature-dependent lattice thermal conductivity

../../_images/fig_kappa_vs_grain_size5009.png

(b) Peierls lattice thermal conductivity w.r.t grain size

Phonon lifetime and scattering rates

../../_images/fig_lifetime4901.png

(a) Phonon lifetime due to phonon-phonon scattering

../../_images/fig_scat_rates4900.png

(b) Phonon scattering rates

Cumulative and spectral thermal conductivity

../../_images/fig_cumu_frequency4901.png

(a) Spectral and cumulative thermal conductivity w.r.t frequency

../../_images/fig_cumu_mfp4900.png

(b) Spectral and cumulative thermal conductivity w.r.t MFP

Force constants

../../_images/fig_fc211591.png

(a) Force constants w.r.t atomic distance

Summary

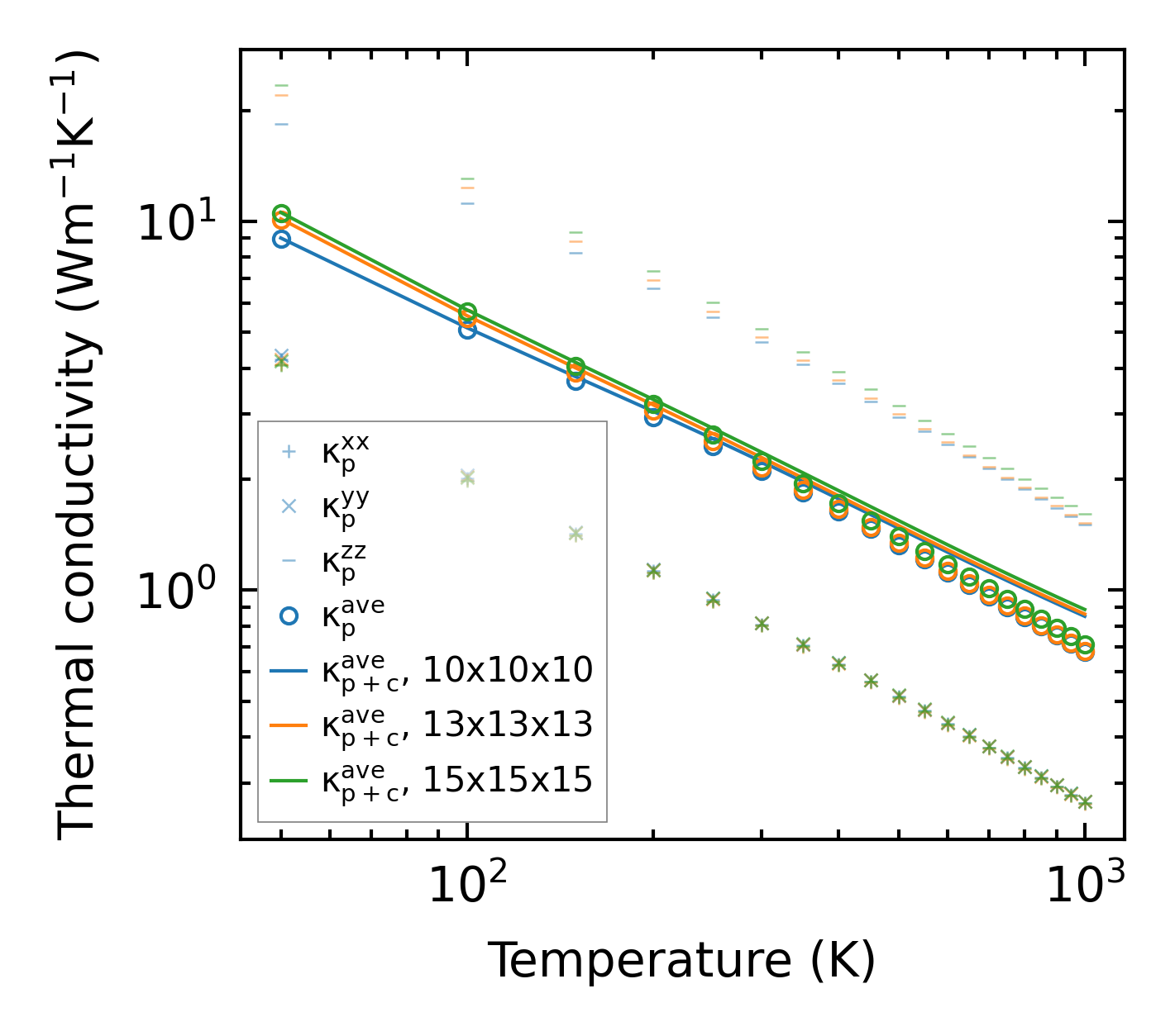
../../_images/fig_kappa9333.png

(a) Temperature-dependent lattice thermal conductivity

../../_images/fig_times20160.png

(b) Computation time