mp-27678/Y2Cl3/anharm

Harmonic properties

../../_images/fig_bandos_pr12183.png

(a) Phonon dispersion with participation ratio and DOS

../../_images/fig_thermo12183.png

(b) Thermodynamic properties

Grüneisen parameters

../../_images/fig_gru_all5085.png

(a) Grüneisen parameters

../../_images/fig_gruneisen5085.png

(b) Phonon dispersion with Grüneisen parameters

Thermal conductivity

3-phonon (LASSO) — q-mesh: 12x12x9, supercell: 1x3x2

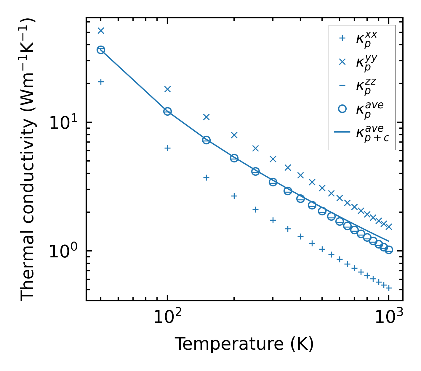
../../_images/fig_kappa9570.png

(a) Temperature-dependent lattice thermal conductivity

../../_images/fig_kappa_vs_grain_size5145.png

(b) Peierls lattice thermal conductivity w.r.t grain size

Phonon lifetime and scattering rates

../../_images/fig_lifetime5035.png

(a) Phonon lifetime due to phonon-phonon scattering

../../_images/fig_scat_rates5034.png

(b) Phonon scattering rates

Cumulative and spectral thermal conductivity

../../_images/fig_cumu_frequency5035.png

(a) Spectral and cumulative thermal conductivity w.r.t frequency

../../_images/fig_cumu_mfp5034.png

(b) Spectral and cumulative thermal conductivity w.r.t MFP

Force constants

../../_images/fig_fc211883.png

(a) Force constants w.r.t atomic distance

Summary

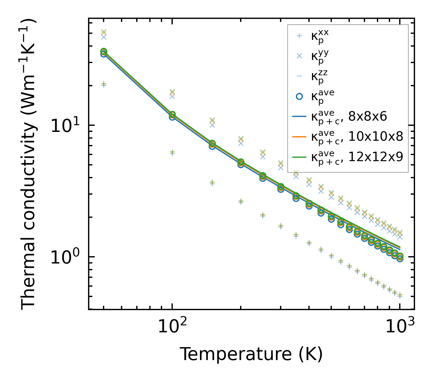
../../_images/fig_kappa9571.png

(a) Temperature-dependent lattice thermal conductivity

../../_images/fig_times20642.png

(b) Computation time