mp-27828/Cs2TiCl6/anharm

Harmonic properties

../../_images/fig_bandos_pr11918.png

(a) Phonon dispersion with participation ratio and DOS

../../_images/fig_thermo11918.png

(b) Thermodynamic properties

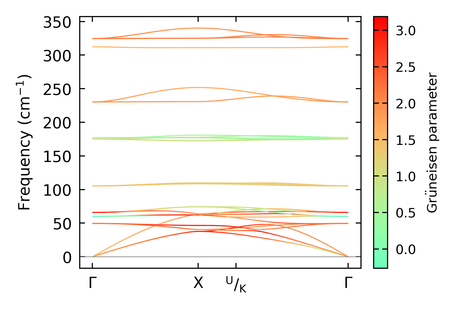
Grüneisen parameters

../../_images/fig_gru_all4968.png

(a) Grüneisen parameters

../../_images/fig_gruneisen4968.png

(b) Phonon dispersion with Grüneisen parameters

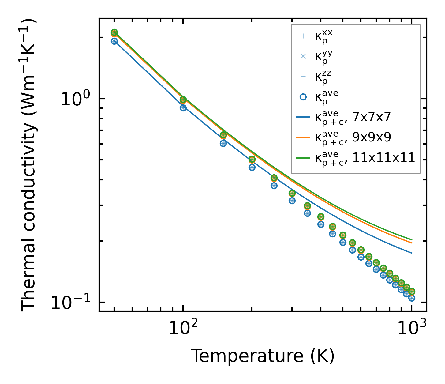
Thermal conductivity

3-phonon — q-mesh: 11x11x11, supercell: 1x1x1

../../_images/fig_kappa9363.png

(a) Temperature-dependent lattice thermal conductivity

../../_images/fig_kappa_vs_grain_size5026.png

(b) Peierls lattice thermal conductivity w.r.t grain size

Phonon lifetime and scattering rates

../../_images/fig_lifetime4918.png

(a) Phonon lifetime due to phonon-phonon scattering

../../_images/fig_scat_rates4917.png

(b) Phonon scattering rates

Cumulative and spectral thermal conductivity

../../_images/fig_cumu_frequency4918.png

(a) Spectral and cumulative thermal conductivity w.r.t frequency

../../_images/fig_cumu_mfp4917.png

(b) Spectral and cumulative thermal conductivity w.r.t MFP

Force constants

../../_images/fig_fc3291.png

(a) Force constants w.r.t atomic distance

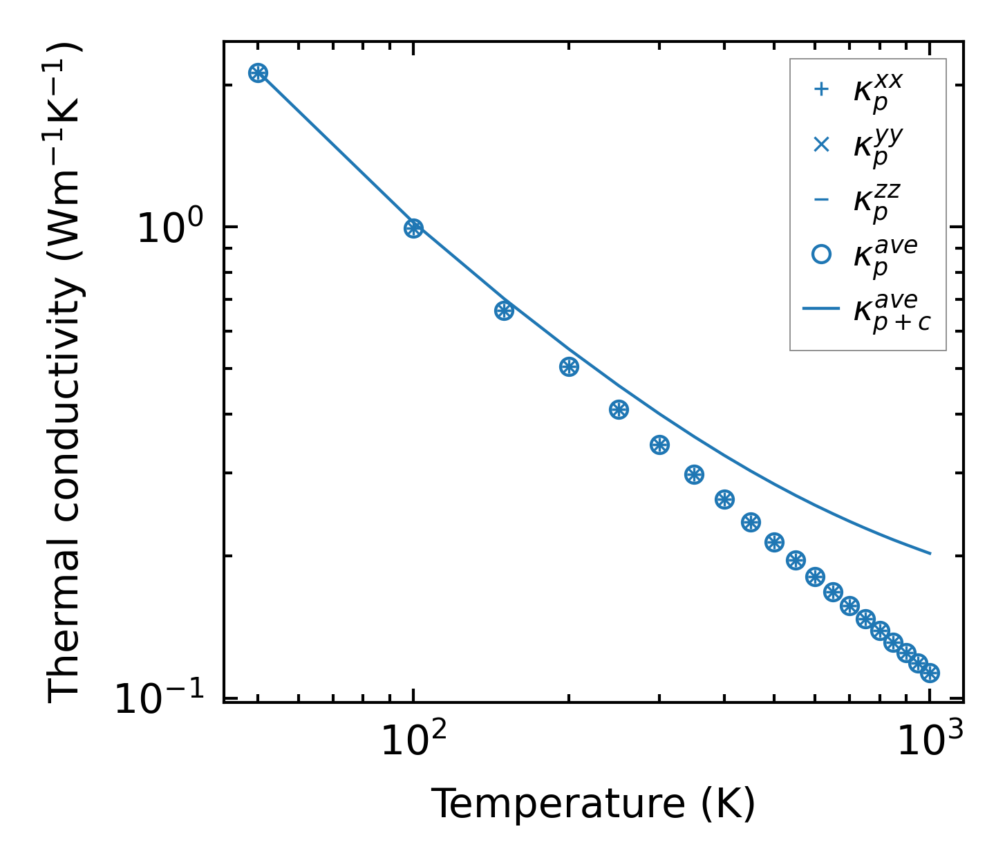
Summary

../../_images/fig_kappa9364.png

(a) Temperature-dependent lattice thermal conductivity

../../_images/fig_times20221.png

(b) Computation time