mp-27352-2/SrAg6O4/anharm

Equation of state

../../_images/fig_bm5892.png

(a) Equation of state

Harmonic properties

../../_images/fig_bandos_pr12046.png

(a) Phonon dispersion with participation ratio and DOS

../../_images/fig_thermo12046.png

(b) Thermodynamic properties

Grüneisen parameters

../../_images/fig_gru_all5021.png

(a) Grüneisen parameters

../../_images/fig_gruneisen5021.png

(b) Phonon dispersion with Grüneisen parameters

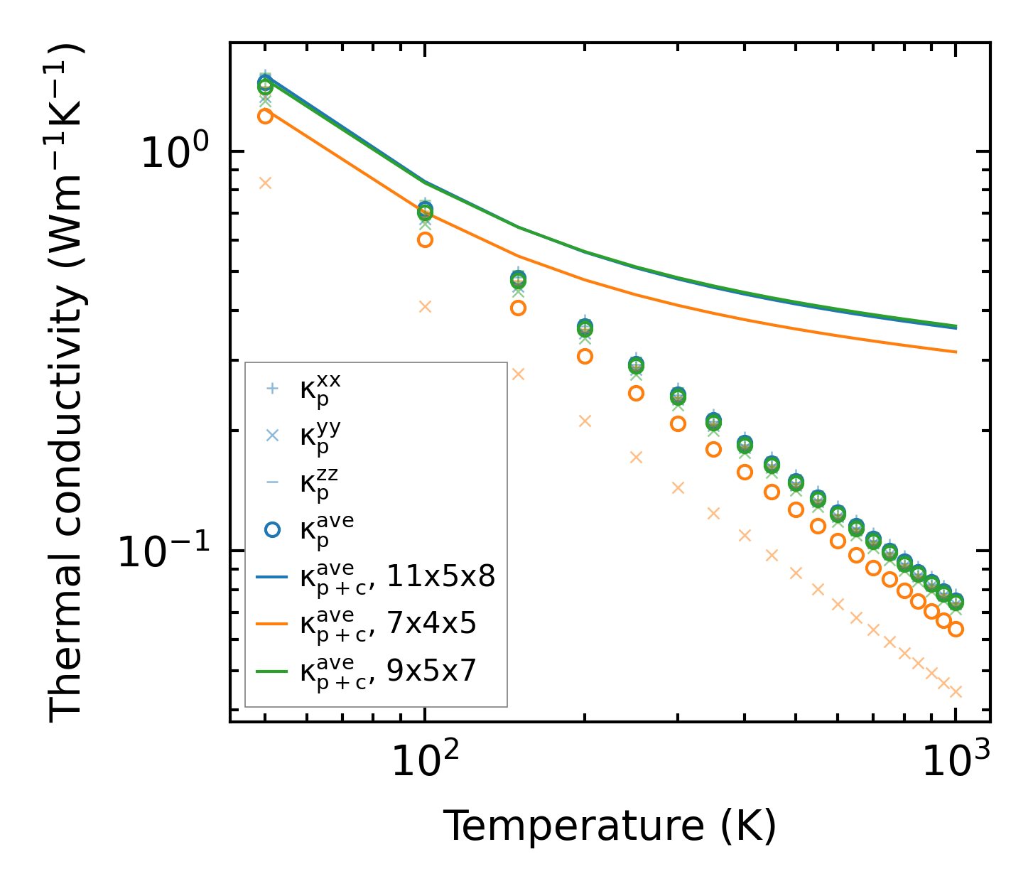
Thermal conductivity

3-phonon (LASSO) — q-mesh: 11x5x8, supercell: 2x1x1

../../_images/fig_kappa9462.png

(a) Temperature-dependent lattice thermal conductivity

../../_images/fig_kappa_vs_grain_size5080.png

(b) Peierls lattice thermal conductivity w.r.t grain size

Phonon lifetime and scattering rates

../../_images/fig_lifetime4971.png

(a) Phonon lifetime due to phonon-phonon scattering

../../_images/fig_scat_rates4970.png

(b) Phonon scattering rates

Cumulative and spectral thermal conductivity

../../_images/fig_cumu_frequency4971.png

(a) Spectral and cumulative thermal conductivity w.r.t frequency

../../_images/fig_cumu_mfp4970.png

(b) Spectral and cumulative thermal conductivity w.r.t MFP

Force constants

../../_images/fig_fc211748.png

(a) Force constants w.r.t atomic distance

Summary

../../_images/fig_kappa9463.png

(a) Temperature-dependent lattice thermal conductivity

../../_images/fig_times20420.png

(b) Computation time