mp-27791-2/SrBe3O4/anharm

Harmonic properties

../../_images/fig_bandos_pr11900.png

(a) Phonon dispersion with participation ratio and DOS

../../_images/fig_thermo11900.png

(b) Thermodynamic properties

Grüneisen parameters

../../_images/fig_gru_all4959.png

(a) Grüneisen parameters

../../_images/fig_gruneisen4959.png

(b) Phonon dispersion with Grüneisen parameters

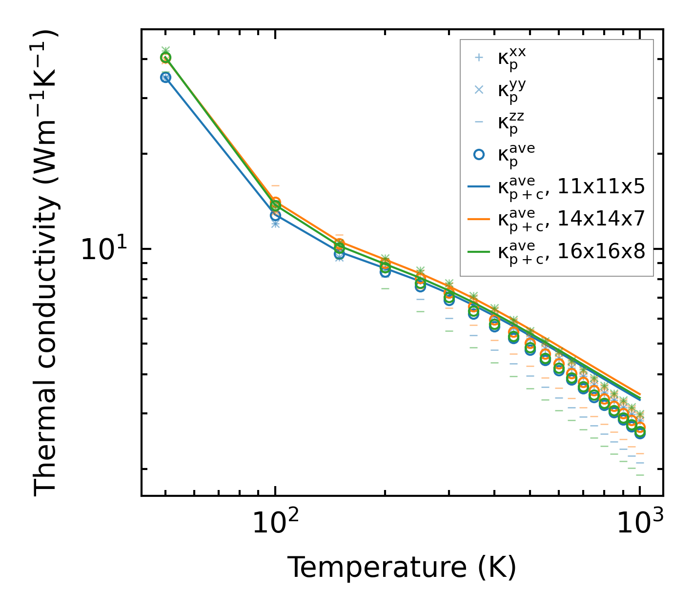
Thermal conductivity

3-phonon (LASSO) — q-mesh: 16x16x8, supercell: 2x2x2

../../_images/fig_kappa9346.png

(a) Temperature-dependent lattice thermal conductivity

../../_images/fig_kappa_vs_grain_size5017.png

(b) Peierls lattice thermal conductivity w.r.t grain size

Phonon lifetime and scattering rates

../../_images/fig_lifetime4909.png

(a) Phonon lifetime due to phonon-phonon scattering

../../_images/fig_scat_rates4908.png

(b) Phonon scattering rates

Cumulative and spectral thermal conductivity

../../_images/fig_cumu_frequency4909.png

(a) Spectral and cumulative thermal conductivity w.r.t frequency

../../_images/fig_cumu_mfp4908.png

(b) Spectral and cumulative thermal conductivity w.r.t MFP

Force constants

../../_images/fig_fc211611.png

(a) Force constants w.r.t atomic distance

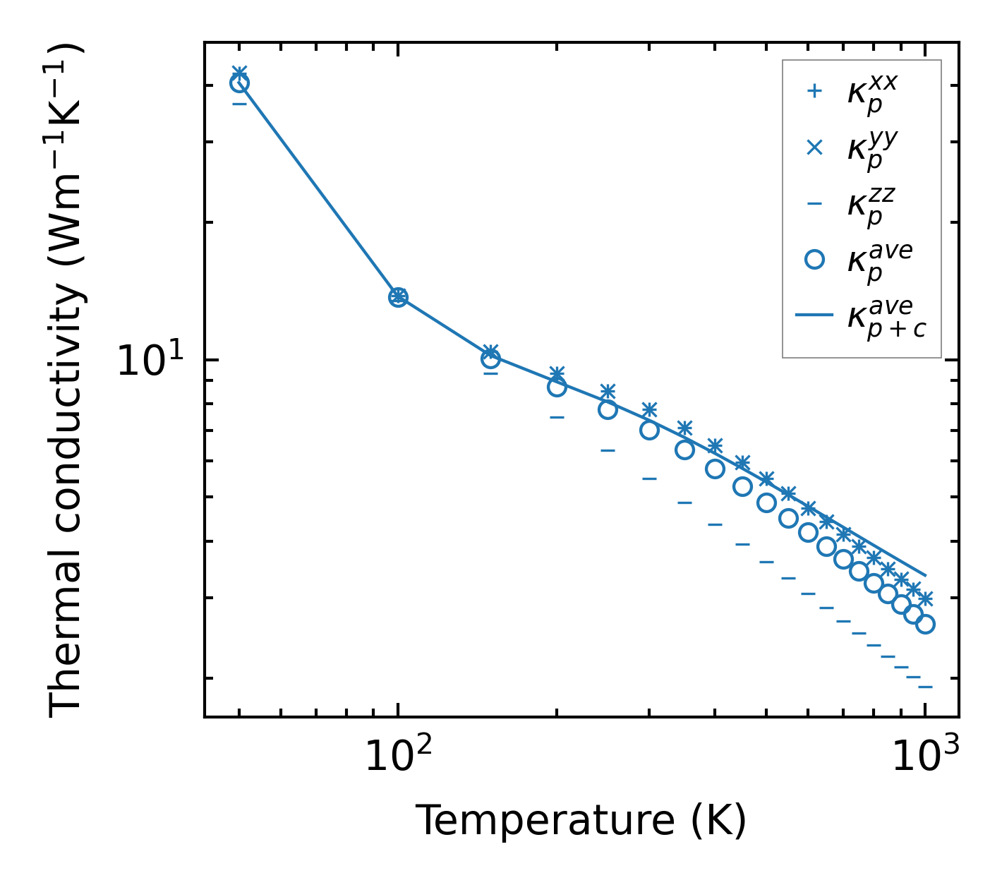
Summary

../../_images/fig_kappa9347.png

(a) Temperature-dependent lattice thermal conductivity

../../_images/fig_times20194.png

(b) Computation time