mp-27752/Na6Ge2S7/anharm

Harmonic properties

../../_images/fig_bandos_pr11884.png

(a) Phonon dispersion with participation ratio and DOS

../../_images/fig_thermo11884.png

(b) Thermodynamic properties

Grüneisen parameters

../../_images/fig_gru_all4953.png

(a) Grüneisen parameters

../../_images/fig_gruneisen4953.png

(b) Phonon dispersion with Grüneisen parameters

Thermal conductivity

3-phonon (LASSO) — q-mesh: 10x10x4, supercell: 2x1x1

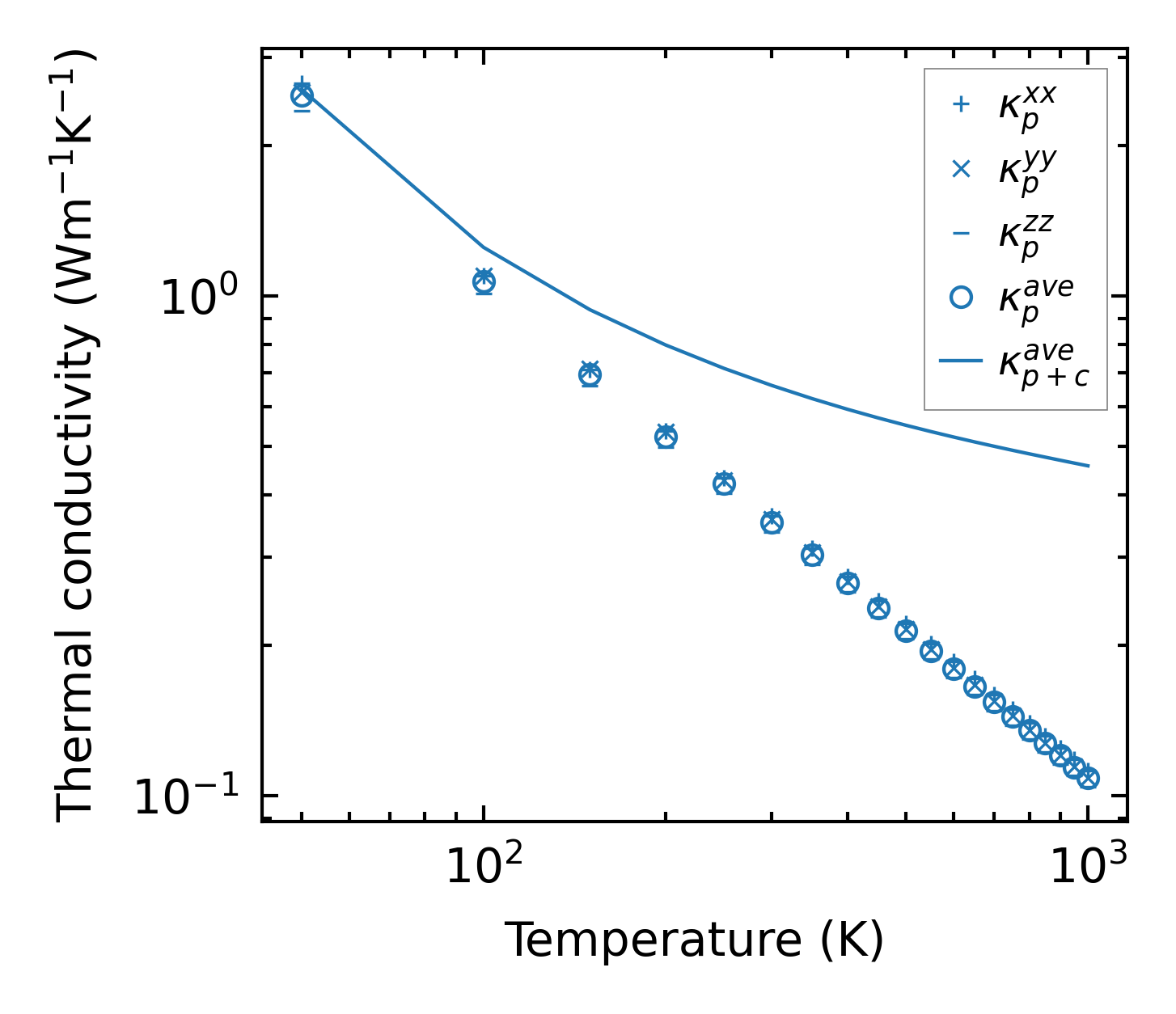
../../_images/fig_kappa9336.png

(a) Temperature-dependent lattice thermal conductivity

../../_images/fig_kappa_vs_grain_size5011.png

(b) Peierls lattice thermal conductivity w.r.t grain size

Phonon lifetime and scattering rates

../../_images/fig_lifetime4903.png

(a) Phonon lifetime due to phonon-phonon scattering

../../_images/fig_scat_rates4902.png

(b) Phonon scattering rates

Cumulative and spectral thermal conductivity

../../_images/fig_cumu_frequency4903.png

(a) Spectral and cumulative thermal conductivity w.r.t frequency

../../_images/fig_cumu_mfp4902.png

(b) Spectral and cumulative thermal conductivity w.r.t MFP

Force constants

../../_images/fig_fc211595.png

(a) Force constants w.r.t atomic distance

Summary

../../_images/fig_kappa9337.png

(a) Temperature-dependent lattice thermal conductivity

../../_images/fig_times20164.png

(b) Computation time