mp-27938/Tl6SI4/anharm

Harmonic properties

../../_images/fig_bandos_pr11970.png

(a) Phonon dispersion with participation ratio and DOS

../../_images/fig_thermo11970.png

(b) Thermodynamic properties

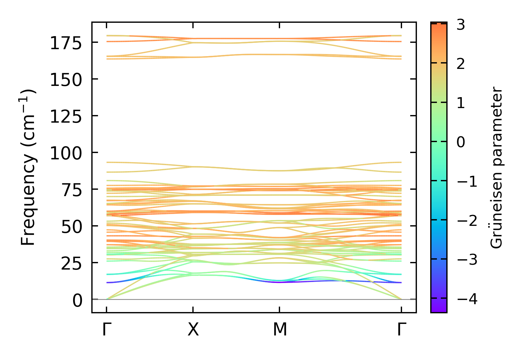
Grüneisen parameters

../../_images/fig_gru_all4990.png

(a) Grüneisen parameters

../../_images/fig_gruneisen4990.png

(b) Phonon dispersion with Grüneisen parameters

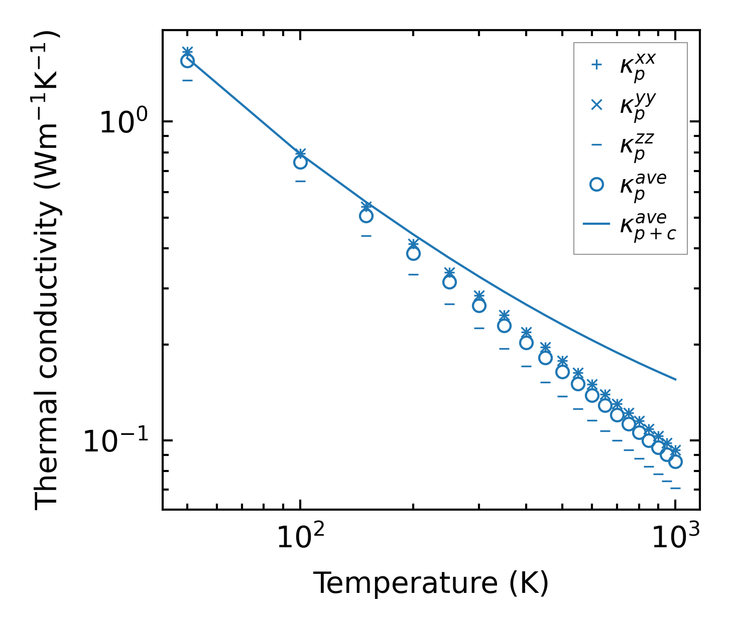
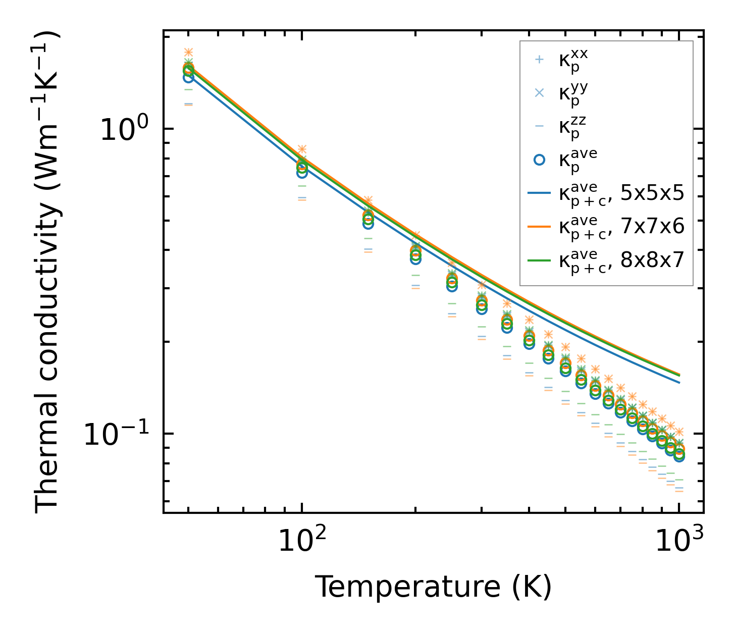
Thermal conductivity

3-phonon (LASSO) — q-mesh: 8x8x7, supercell: 2x2x1

../../_images/fig_kappa9405.png

(a) Temperature-dependent lattice thermal conductivity

../../_images/fig_kappa_vs_grain_size5049.png

(b) Peierls lattice thermal conductivity w.r.t grain size

Phonon lifetime and scattering rates

../../_images/fig_lifetime4940.png

(a) Phonon lifetime due to phonon-phonon scattering

../../_images/fig_scat_rates4939.png

(b) Phonon scattering rates

Cumulative and spectral thermal conductivity

../../_images/fig_cumu_frequency4940.png

(a) Spectral and cumulative thermal conductivity w.r.t frequency

../../_images/fig_cumu_mfp4939.png

(b) Spectral and cumulative thermal conductivity w.r.t MFP

Force constants

../../_images/fig_fc211673.png

(a) Force constants w.r.t atomic distance

Summary

../../_images/fig_kappa9406.png

(a) Temperature-dependent lattice thermal conductivity

../../_images/fig_times20300.png

(b) Computation time