mp-27608/Be4TeO7/anharm

Harmonic properties

../../_images/fig_bandos_pr12161.png

(a) Phonon dispersion with participation ratio and DOS

../../_images/fig_thermo12161.png

(b) Thermodynamic properties

Grüneisen parameters

../../_images/fig_gru_all5073.png

(a) Grüneisen parameters

../../_images/fig_gruneisen5073.png

(b) Phonon dispersion with Grüneisen parameters

Thermal conductivity

3-phonon (LASSO) — q-mesh: 15x15x15, supercell: 1x1x1

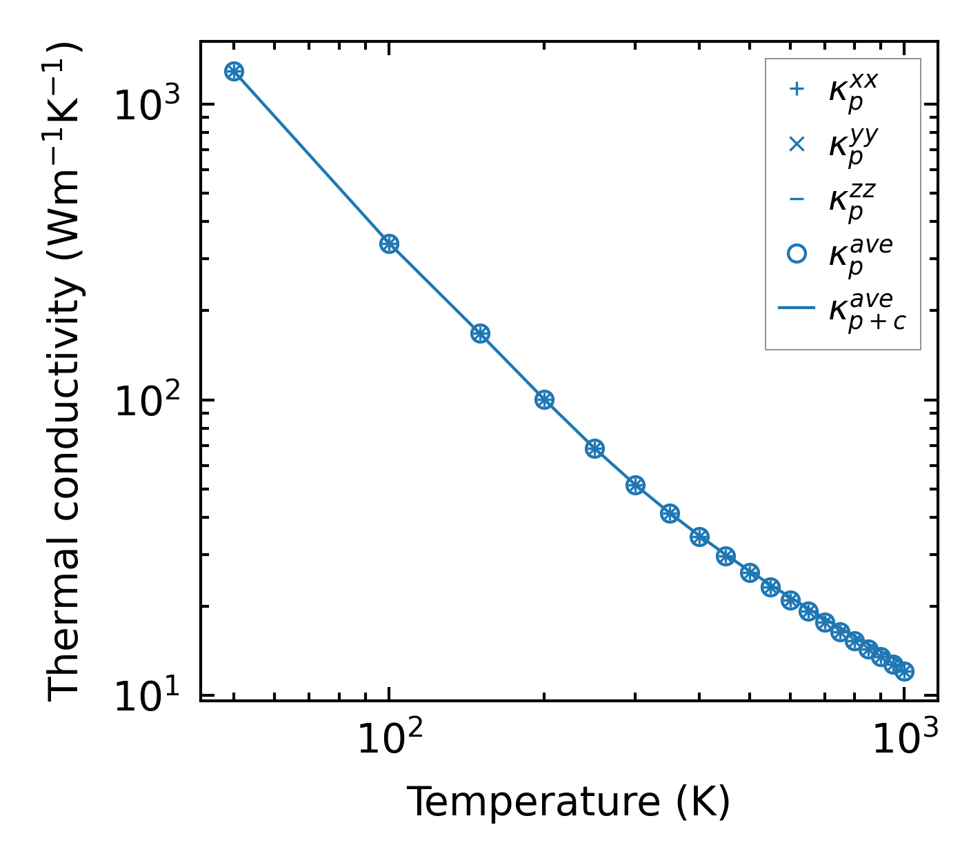
../../_images/fig_kappa9548.png

(a) Temperature-dependent lattice thermal conductivity

../../_images/fig_kappa_vs_grain_size5133.png

(b) Peierls lattice thermal conductivity w.r.t grain size

Phonon lifetime and scattering rates

../../_images/fig_lifetime5023.png

(a) Phonon lifetime due to phonon-phonon scattering

../../_images/fig_scat_rates5022.png

(b) Phonon scattering rates

Cumulative and spectral thermal conductivity

../../_images/fig_cumu_frequency5023.png

(a) Spectral and cumulative thermal conductivity w.r.t frequency

../../_images/fig_cumu_mfp5022.png

(b) Spectral and cumulative thermal conductivity w.r.t MFP

Force constants

../../_images/fig_fc211862.png

(a) Force constants w.r.t atomic distance

Summary

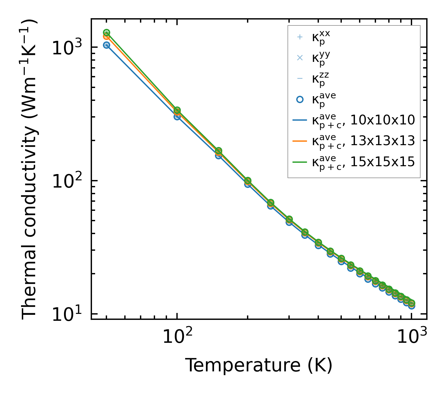
../../_images/fig_kappa9549.png

(a) Temperature-dependent lattice thermal conductivity

../../_images/fig_times20605.png

(b) Computation time