mp-27181/KAuCl4/anharm

Equation of state

../../_images/fig_bm6046.png

(a) Equation of state

Harmonic properties

../../_images/fig_bandos_pr12271.png

(a) Phonon dispersion with participation ratio and DOS

../../_images/fig_thermo12271.png

(b) Thermodynamic properties

Grüneisen parameters

../../_images/fig_gru_all5112.png

(a) Grüneisen parameters

../../_images/fig_gruneisen5112.png

(b) Phonon dispersion with Grüneisen parameters

Thermal conductivity

3-phonon (LASSO) — q-mesh: 8x11x5, supercell: 2x2x1

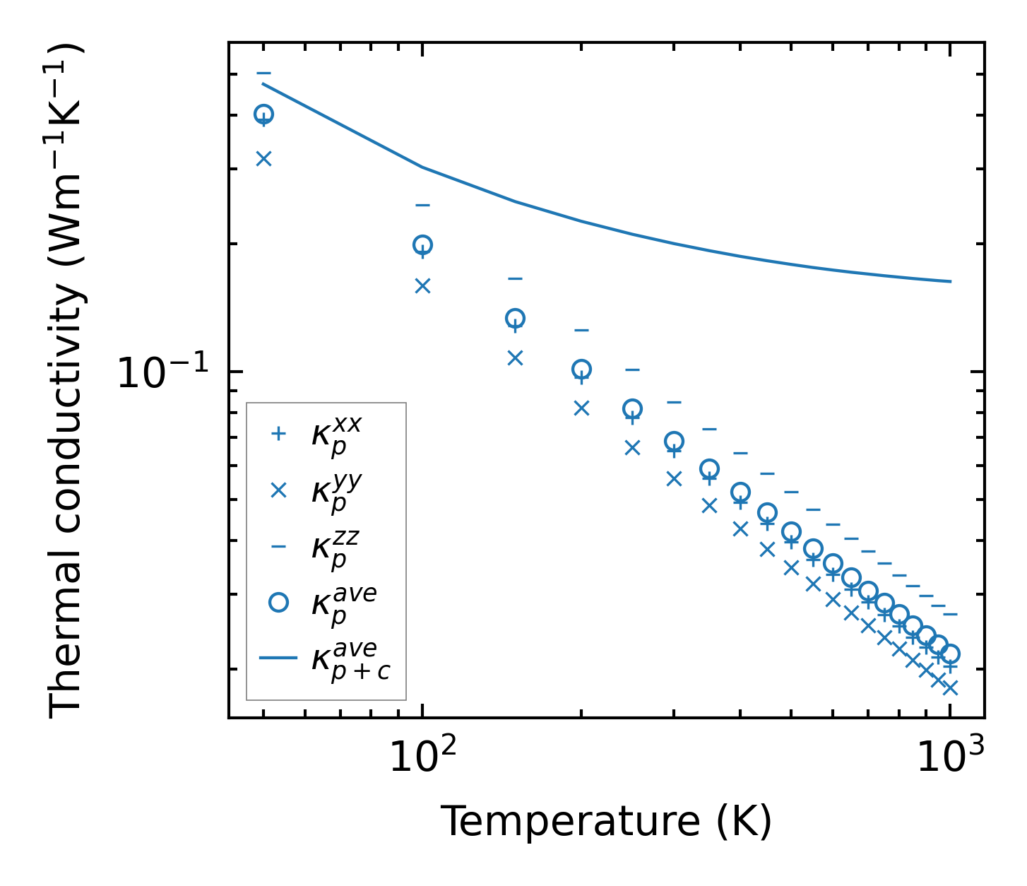
../../_images/fig_kappa9617.png

(a) Temperature-dependent lattice thermal conductivity

../../_images/fig_kappa_vs_grain_size5171.png

(b) Peierls lattice thermal conductivity w.r.t grain size

Phonon lifetime and scattering rates

../../_images/fig_lifetime5061.png

(a) Phonon lifetime due to phonon-phonon scattering

../../_images/fig_scat_rates5060.png

(b) Phonon scattering rates

Cumulative and spectral thermal conductivity

../../_images/fig_cumu_frequency5061.png

(a) Spectral and cumulative thermal conductivity w.r.t frequency

../../_images/fig_cumu_mfp5060.png

(b) Spectral and cumulative thermal conductivity w.r.t MFP

Force constants

../../_images/fig_fc211970.png

(a) Force constants w.r.t atomic distance

Summary

../../_images/fig_kappa9618.png

(a) Temperature-dependent lattice thermal conductivity

../../_images/fig_times20823.png

(b) Computation time