mp-27616/ErSCl/anharm

Harmonic properties

../../_images/fig_bandos_pr12162.png

(a) Phonon dispersion with participation ratio and DOS

../../_images/fig_thermo12162.png

(b) Thermodynamic properties

Grüneisen parameters

../../_images/fig_gru_all5074.png

(a) Grüneisen parameters

../../_images/fig_gruneisen5074.png

(b) Phonon dispersion with Grüneisen parameters

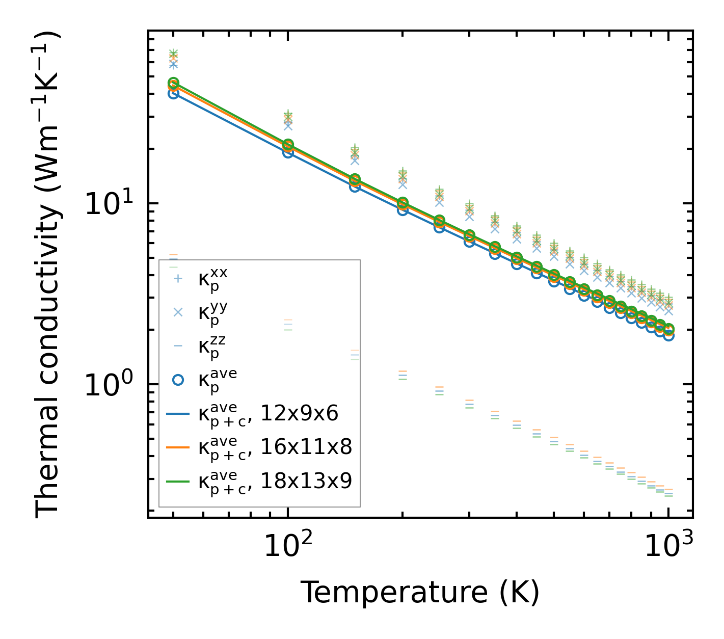
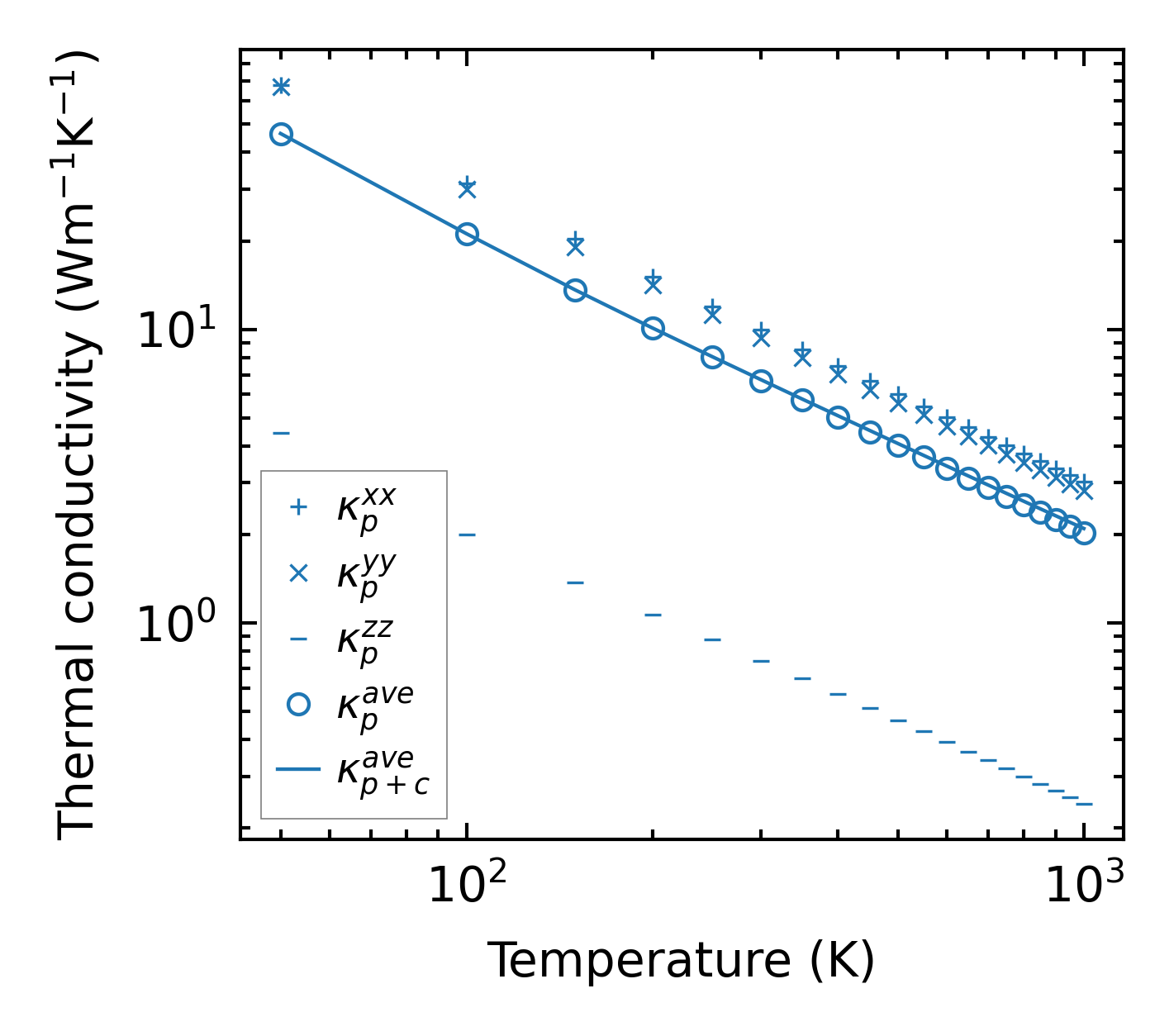
Thermal conductivity

3-phonon (LASSO) — q-mesh: 18x13x9, supercell: 4x3x2

../../_images/fig_kappa9550.png

(a) Temperature-dependent lattice thermal conductivity

../../_images/fig_kappa_vs_grain_size5134.png

(b) Peierls lattice thermal conductivity w.r.t grain size

Phonon lifetime and scattering rates

../../_images/fig_lifetime5024.png

(a) Phonon lifetime due to phonon-phonon scattering

../../_images/fig_scat_rates5023.png

(b) Phonon scattering rates

Cumulative and spectral thermal conductivity

../../_images/fig_cumu_frequency5024.png

(a) Spectral and cumulative thermal conductivity w.r.t frequency

../../_images/fig_cumu_mfp5023.png

(b) Spectral and cumulative thermal conductivity w.r.t MFP

Force constants

../../_images/fig_fc211863.png

(a) Force constants w.r.t atomic distance

Summary

../../_images/fig_kappa9551.png

(a) Temperature-dependent lattice thermal conductivity

../../_images/fig_times20608.png

(b) Computation time