mp-27286-2/BaAg6O4/anharm

Equation of state

../../_images/fig_bm6082.png

(a) Equation of state

Harmonic properties

../../_images/fig_bandos_pr12321.png

(a) Phonon dispersion with participation ratio and DOS

../../_images/fig_thermo12321.png

(b) Thermodynamic properties

Grüneisen parameters

../../_images/fig_gru_all5127.png

(a) Grüneisen parameters

../../_images/fig_gruneisen5127.png

(b) Phonon dispersion with Grüneisen parameters

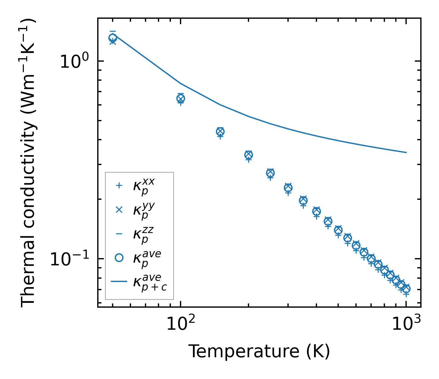
Thermal conductivity

3-phonon (LASSO) — q-mesh: 10x5x7, supercell: 2x1x1

../../_images/fig_kappa9645.png

(a) Temperature-dependent lattice thermal conductivity

../../_images/fig_kappa_vs_grain_size5186.png

(b) Peierls lattice thermal conductivity w.r.t grain size

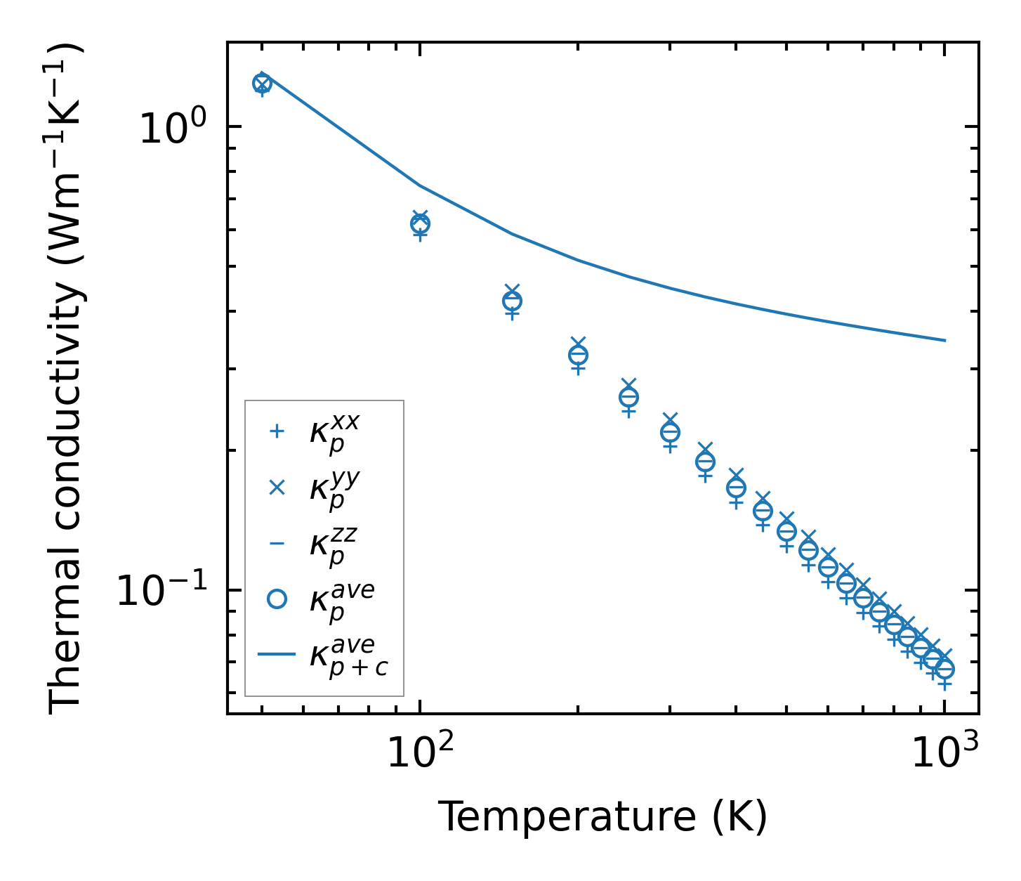
3-phonon (LASSO), supercell 2x1x2 — q-mesh: 10x5x7, supercell: 2x1x2

../../_images/fig_kappa9646.png

(a) Temperature-dependent lattice thermal conductivity

../../_images/fig_kappa_vs_grain_size5187.png

(b) Peierls lattice thermal conductivity w.r.t grain size

Phonon lifetime and scattering rates

../../_images/fig_lifetime5076.png

(a) Phonon lifetime due to phonon-phonon scattering

../../_images/fig_scat_rates5075.png

(b) Phonon scattering rates

Cumulative and spectral thermal conductivity

../../_images/fig_cumu_frequency5076.png

(a) Spectral and cumulative thermal conductivity w.r.t frequency

../../_images/fig_cumu_mfp5075.png

(b) Spectral and cumulative thermal conductivity w.r.t MFP

Force constants

../../_images/fig_fc212020.png

(a) Force constants w.r.t atomic distance

Summary

../../_images/fig_kappa9647.png

(a) Temperature-dependent lattice thermal conductivity

../../_images/fig_times20909.png

(b) Computation time