mp-27629-2/Cs3Sb2Cl9/anharm

Equation of state

../../_images/fig_bm5972.png

(a) Equation of state

Harmonic properties

../../_images/fig_bandos_pr12168.png

(a) Phonon dispersion with participation ratio and DOS

../../_images/fig_thermo12168.png

(b) Thermodynamic properties

Grüneisen parameters

../../_images/fig_gru_all5079.png

(a) Grüneisen parameters

../../_images/fig_gruneisen5079.png

(b) Phonon dispersion with Grüneisen parameters

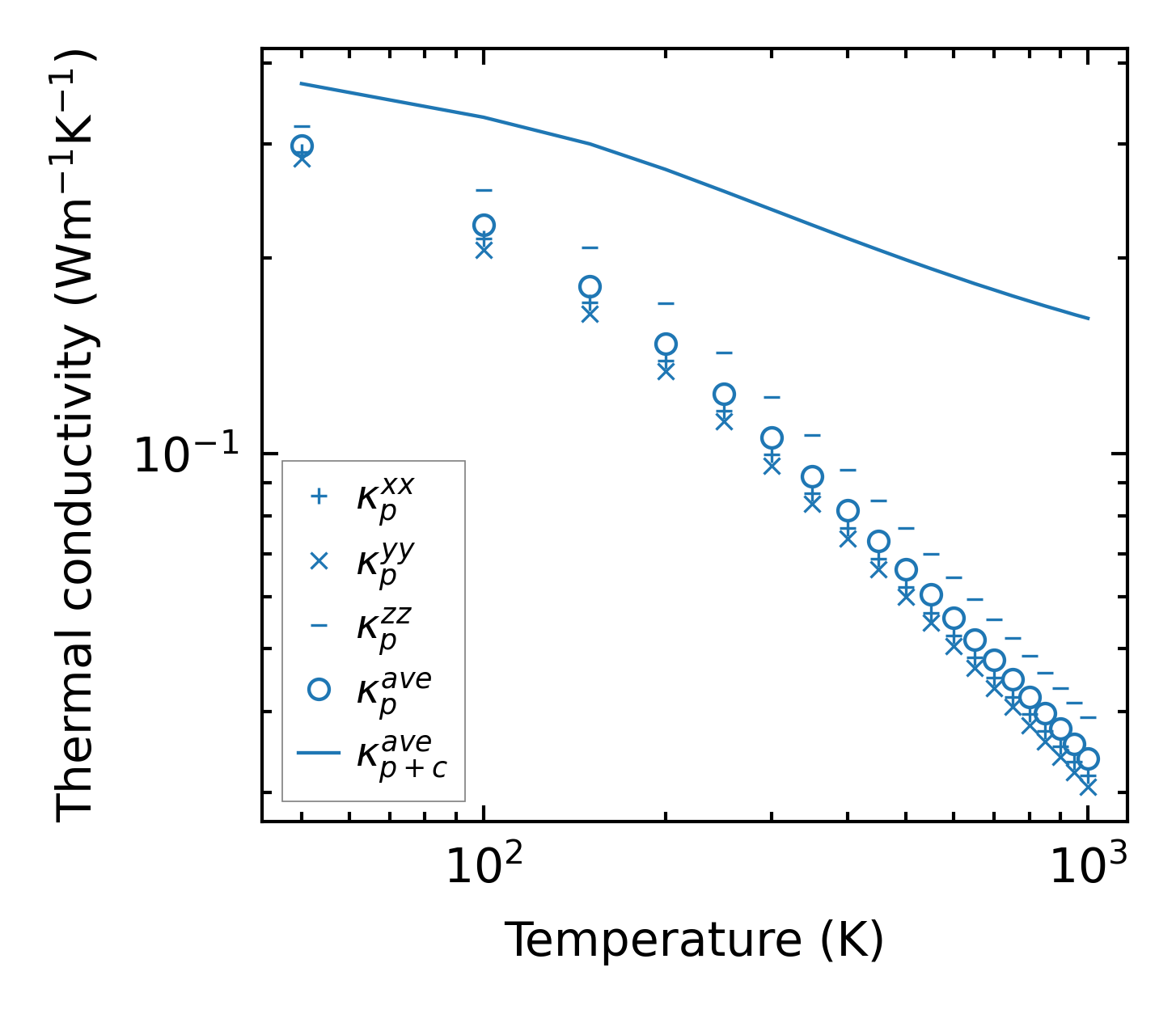
Thermal conductivity

3-phonon (LASSO) — q-mesh: 9x9x8, supercell: 2x2x2

../../_images/fig_kappa9560.png

(a) Temperature-dependent lattice thermal conductivity

../../_images/fig_kappa_vs_grain_size5139.png

(b) Peierls lattice thermal conductivity w.r.t grain size

Phonon lifetime and scattering rates

../../_images/fig_lifetime5029.png

(a) Phonon lifetime due to phonon-phonon scattering

../../_images/fig_scat_rates5028.png

(b) Phonon scattering rates

Cumulative and spectral thermal conductivity

../../_images/fig_cumu_frequency5029.png

(a) Spectral and cumulative thermal conductivity w.r.t frequency

../../_images/fig_cumu_mfp5028.png

(b) Spectral and cumulative thermal conductivity w.r.t MFP

Force constants

../../_images/fig_fc211869.png

(a) Force constants w.r.t atomic distance

Summary

../../_images/fig_kappa9561.png

(a) Temperature-dependent lattice thermal conductivity

../../_images/fig_times20616.png

(b) Computation time