mp-27373/SnClF/anharm

Equation of state

../../_images/fig_bm5901.png

(a) Equation of state

Harmonic properties

../../_images/fig_bandos_pr12057.png

(a) Phonon dispersion with participation ratio and DOS

../../_images/fig_thermo12057.png

(b) Thermodynamic properties

Grüneisen parameters

../../_images/fig_gru_all5028.png

(a) Grüneisen parameters

../../_images/fig_gruneisen5028.png

(b) Phonon dispersion with Grüneisen parameters

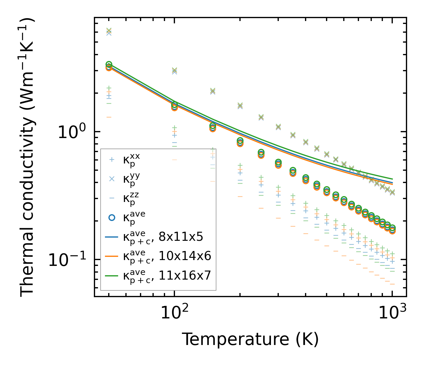
Thermal conductivity

3-phonon (LASSO) — q-mesh: 11x16x7, supercell: 2x3x2

../../_images/fig_kappa9474.png

(a) Temperature-dependent lattice thermal conductivity

../../_images/fig_kappa_vs_grain_size5087.png

(b) Peierls lattice thermal conductivity w.r.t grain size

Phonon lifetime and scattering rates

../../_images/fig_lifetime4978.png

(a) Phonon lifetime due to phonon-phonon scattering

../../_images/fig_scat_rates4977.png

(b) Phonon scattering rates

Cumulative and spectral thermal conductivity

../../_images/fig_cumu_frequency4978.png

(a) Spectral and cumulative thermal conductivity w.r.t frequency

../../_images/fig_cumu_mfp4977.png

(b) Spectral and cumulative thermal conductivity w.r.t MFP

Force constants

../../_images/fig_fc211759.png

(a) Force constants w.r.t atomic distance

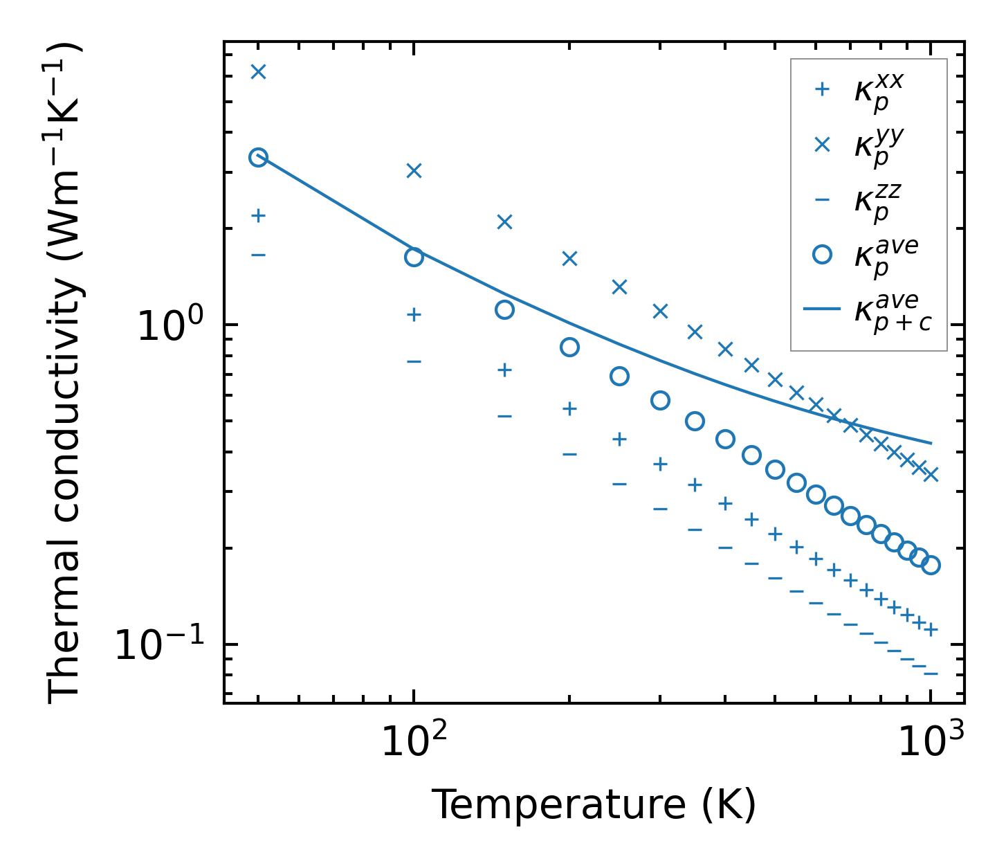
Summary

../../_images/fig_kappa9475.png

(a) Temperature-dependent lattice thermal conductivity

../../_images/fig_times20438.png

(b) Computation time