mp-27295/Mg14Ge5O24/anharm

Harmonic properties

../../_images/fig_bandos_pr12324.png

(a) Phonon dispersion with participation ratio and DOS

../../_images/fig_thermo12324.png

(b) Thermodynamic properties

Grüneisen parameters

../../_images/fig_gru_all5130.png

(a) Grüneisen parameters

../../_images/fig_gruneisen5130.png

(b) Phonon dispersion with Grüneisen parameters

Thermal conductivity

3-phonon (LASSO) — q-mesh: 7x4x12, supercell: 1x1x1

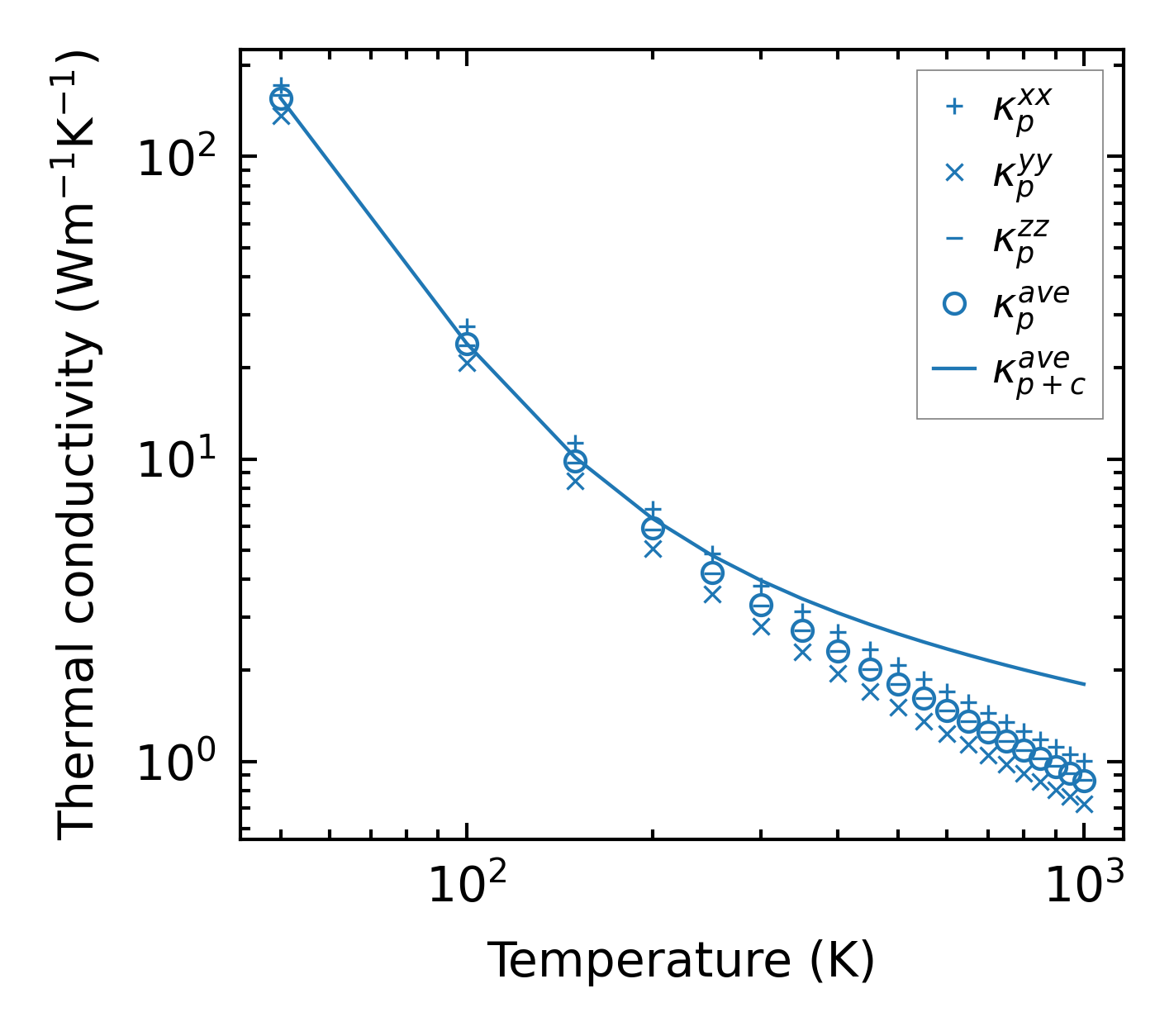
../../_images/fig_kappa9651.png

(a) Temperature-dependent lattice thermal conductivity

../../_images/fig_kappa_vs_grain_size5190.png

(b) Peierls lattice thermal conductivity w.r.t grain size

Phonon lifetime and scattering rates

../../_images/fig_lifetime5079.png

(a) Phonon lifetime due to phonon-phonon scattering

../../_images/fig_scat_rates5078.png

(b) Phonon scattering rates

Cumulative and spectral thermal conductivity

../../_images/fig_cumu_frequency5079.png

(a) Spectral and cumulative thermal conductivity w.r.t frequency

../../_images/fig_cumu_mfp5078.png

(b) Spectral and cumulative thermal conductivity w.r.t MFP

Force constants

../../_images/fig_fc212023.png

(a) Force constants w.r.t atomic distance

Summary

../../_images/fig_kappa9652.png

(a) Temperature-dependent lattice thermal conductivity

../../_images/fig_times20915.png

(b) Computation time