mp-27537/Na2TeO4/anharm

Harmonic properties

../../_images/fig_bandos_pr12131.png

(a) Phonon dispersion with participation ratio and DOS

../../_images/fig_thermo12131.png

(b) Thermodynamic properties

Grüneisen parameters

../../_images/fig_gru_all5065.png

(a) Grüneisen parameters

../../_images/fig_gruneisen5065.png

(b) Phonon dispersion with Grüneisen parameters

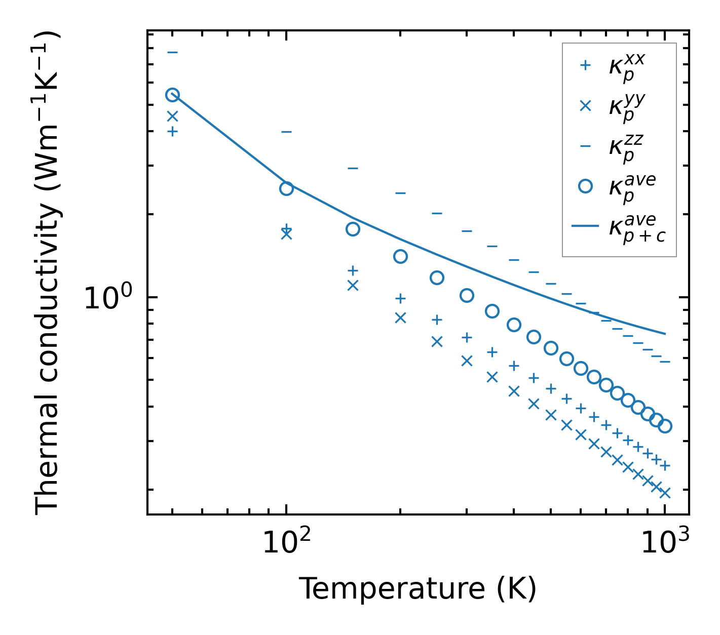
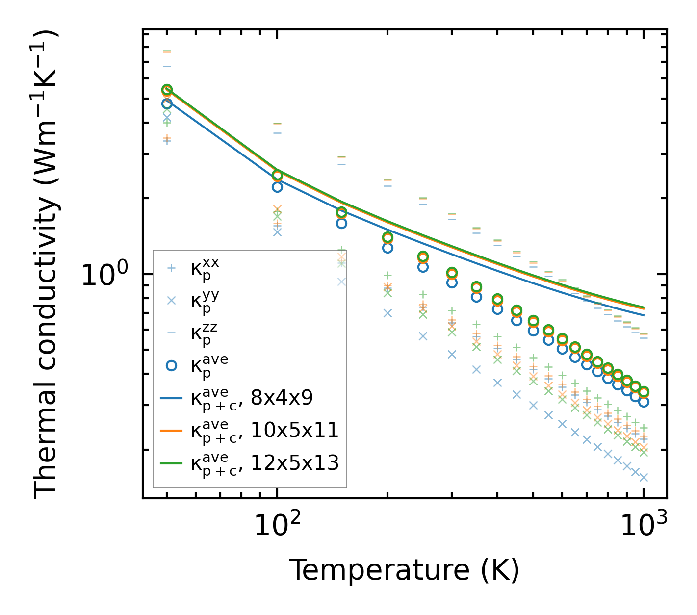
Thermal conductivity

3-phonon (LASSO) — q-mesh: 12x5x13, supercell: 2x1x2

../../_images/fig_kappa9534.png

(a) Temperature-dependent lattice thermal conductivity

../../_images/fig_kappa_vs_grain_size5125.png

(b) Peierls lattice thermal conductivity w.r.t grain size

Phonon lifetime and scattering rates

../../_images/fig_lifetime5015.png

(a) Phonon lifetime due to phonon-phonon scattering

../../_images/fig_scat_rates5014.png

(b) Phonon scattering rates

Cumulative and spectral thermal conductivity

../../_images/fig_cumu_frequency5015.png

(a) Spectral and cumulative thermal conductivity w.r.t frequency

../../_images/fig_cumu_mfp5014.png

(b) Spectral and cumulative thermal conductivity w.r.t MFP

Force constants

../../_images/fig_fc211832.png

(a) Force constants w.r.t atomic distance

Summary

../../_images/fig_kappa9535.png

(a) Temperature-dependent lattice thermal conductivity

../../_images/fig_times20559.png

(b) Computation time