mp-27559/Na14Cd2O9/anharm

Harmonic properties

../../_images/fig_bandos_pr12142.png

(a) Phonon dispersion with participation ratio and DOS

../../_images/fig_thermo12142.png

(b) Thermodynamic properties

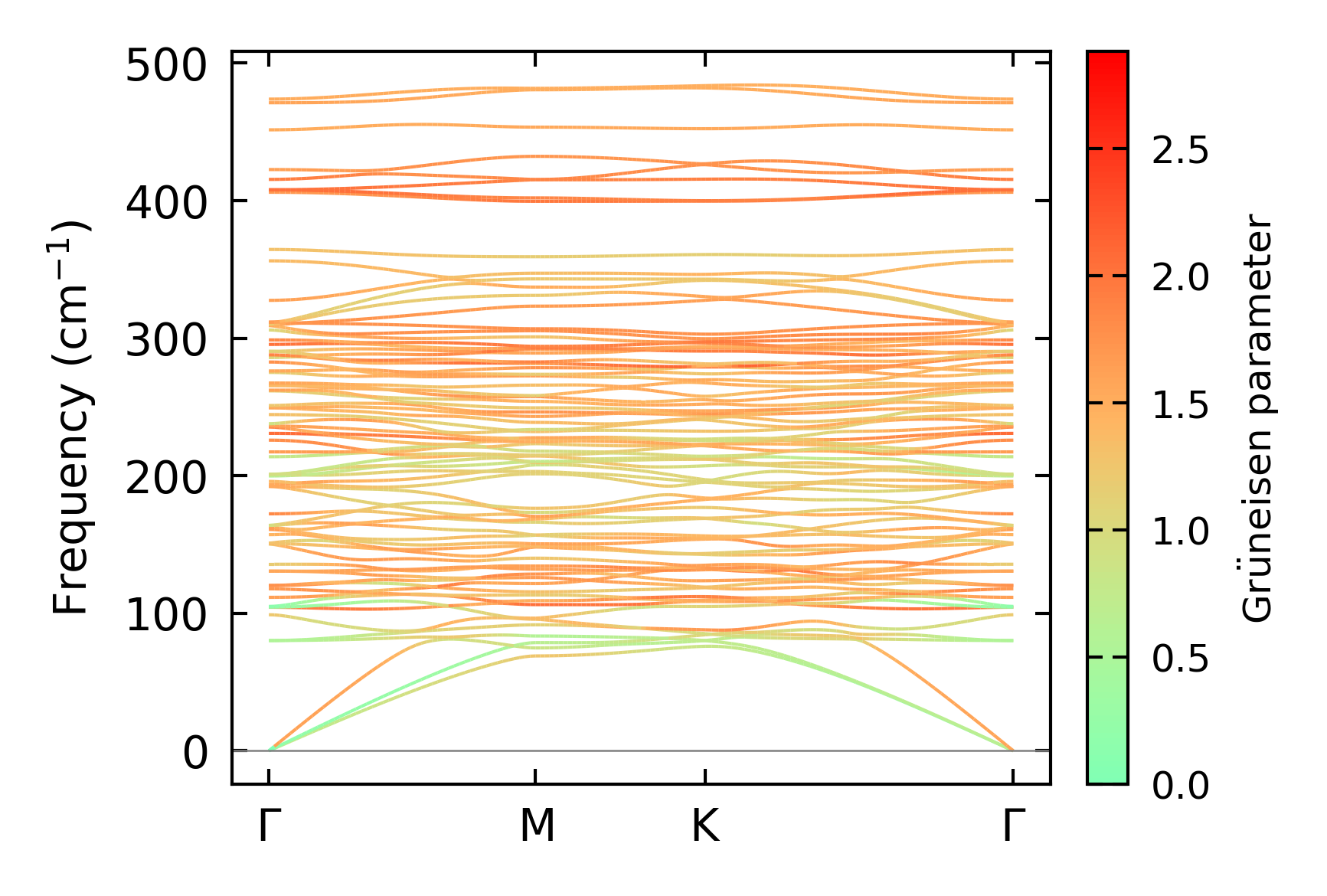
Grüneisen parameters

../../_images/fig_gru_all5069.png

(a) Grüneisen parameters

../../_images/fig_gruneisen5069.png

(b) Phonon dispersion with Grüneisen parameters

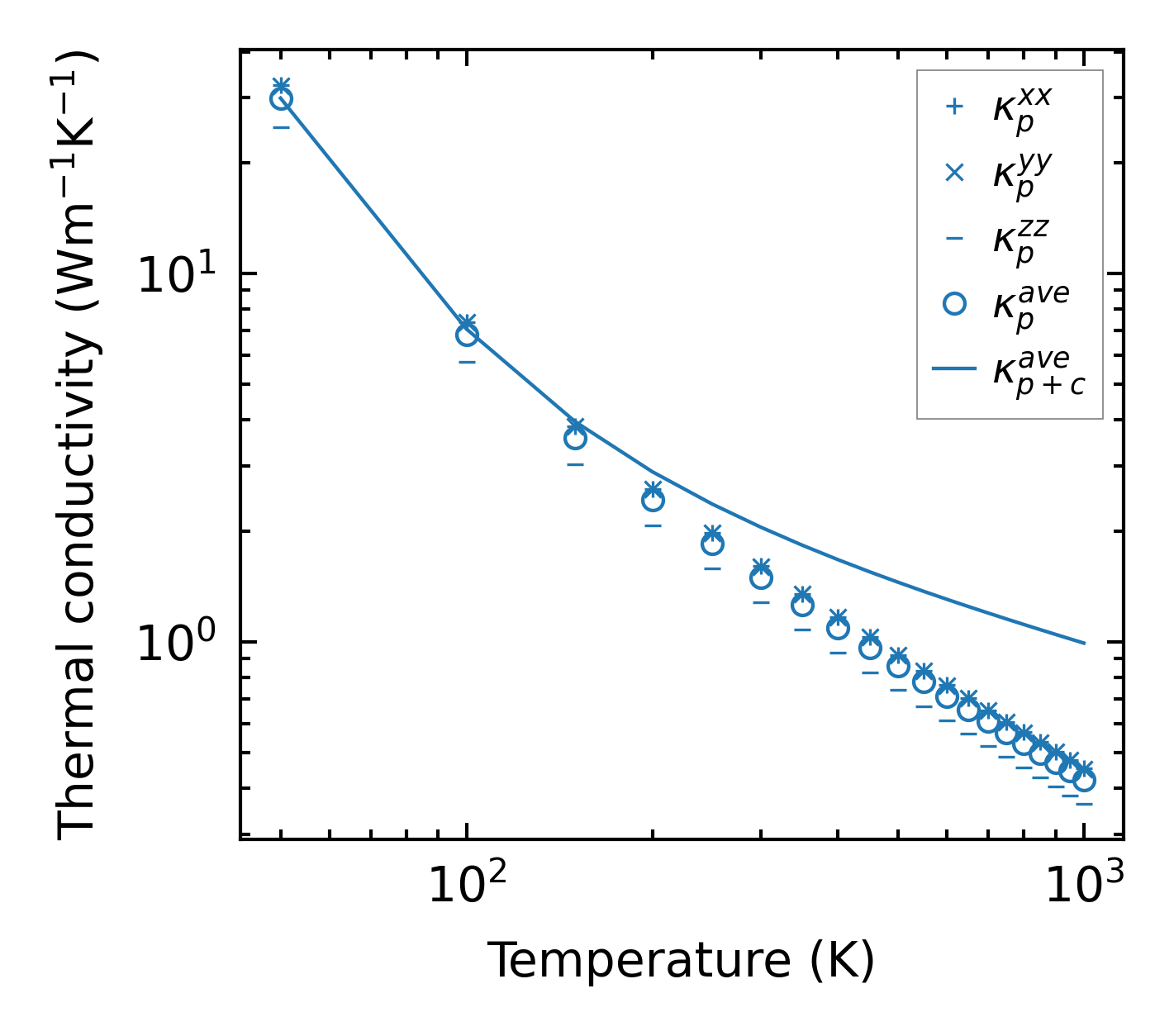
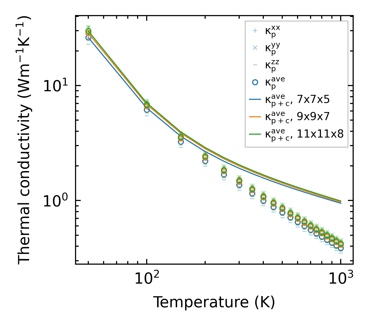
Thermal conductivity

3-phonon (LASSO) — q-mesh: 11x11x8, supercell: 2x2x1

../../_images/fig_kappa9541.png

(a) Temperature-dependent lattice thermal conductivity

../../_images/fig_kappa_vs_grain_size5129.png

(b) Peierls lattice thermal conductivity w.r.t grain size

Phonon lifetime and scattering rates

../../_images/fig_lifetime5019.png

(a) Phonon lifetime due to phonon-phonon scattering

../../_images/fig_scat_rates5018.png

(b) Phonon scattering rates

Cumulative and spectral thermal conductivity

../../_images/fig_cumu_frequency5019.png

(a) Spectral and cumulative thermal conductivity w.r.t frequency

../../_images/fig_cumu_mfp5018.png

(b) Spectral and cumulative thermal conductivity w.r.t MFP

Force constants

../../_images/fig_fc211843.png

(a) Force constants w.r.t atomic distance

Summary

../../_images/fig_kappa9542.png

(a) Temperature-dependent lattice thermal conductivity

../../_images/fig_times20576.png

(b) Computation time