mp-27303/NaAg3O2/anharm

Harmonic properties

../../_images/fig_bandos_pr12329.png

(a) Phonon dispersion with participation ratio and DOS

../../_images/fig_thermo12329.png

(b) Thermodynamic properties

Grüneisen parameters

../../_images/fig_gru_all5131.png

(a) Grüneisen parameters

../../_images/fig_gruneisen5131.png

(b) Phonon dispersion with Grüneisen parameters

Thermal conductivity

3-phonon (LASSO) — q-mesh: 12x12x12, supercell: 2x1x2

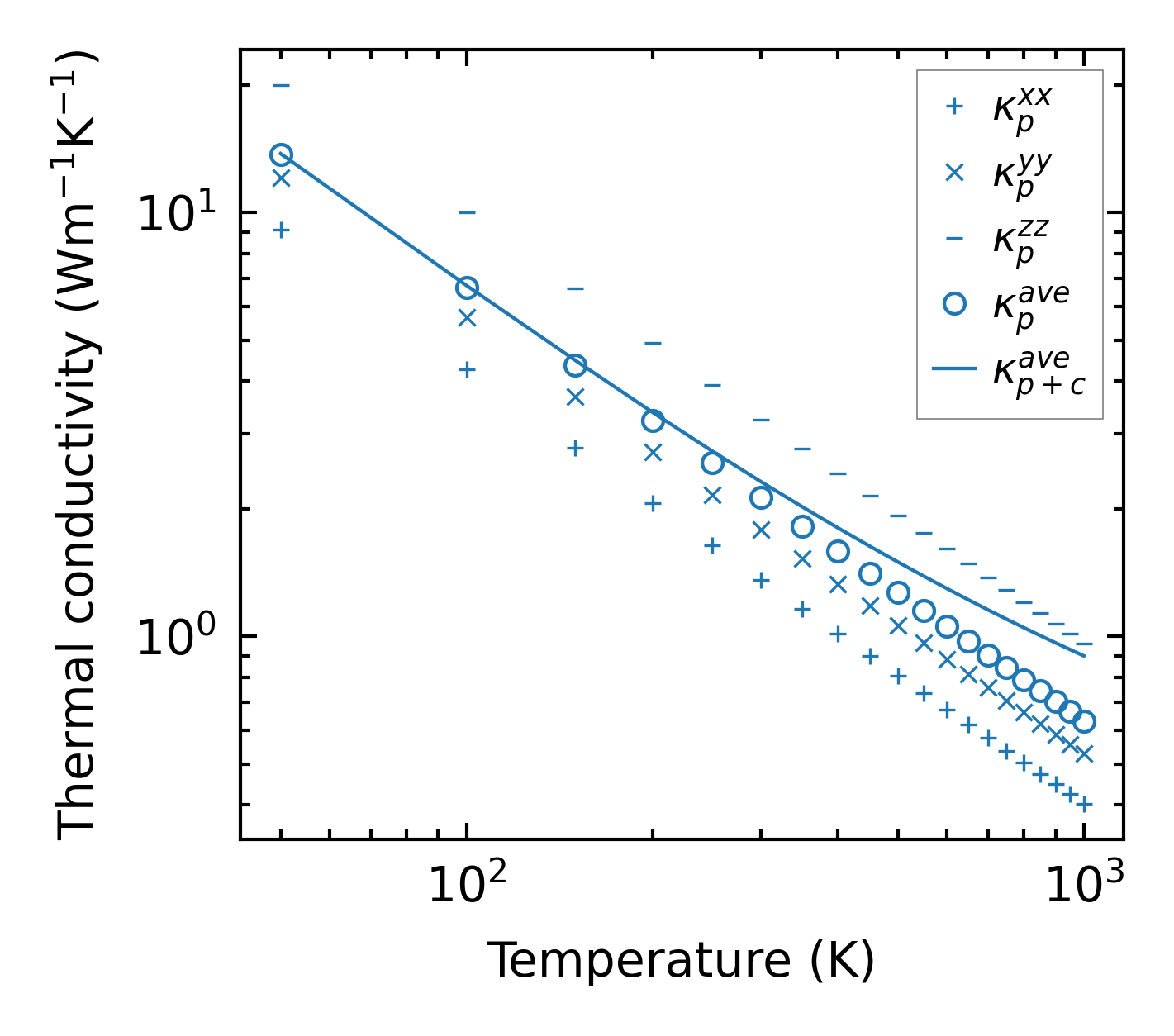
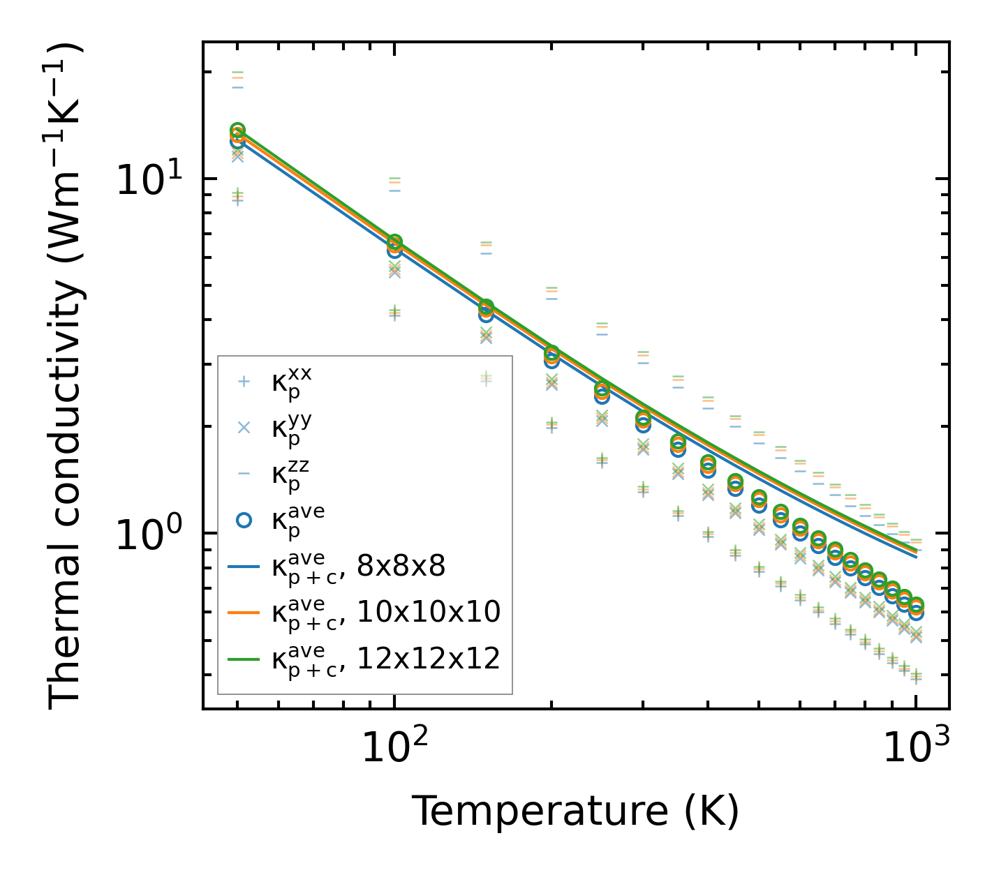
../../_images/fig_kappa9653.png

(a) Temperature-dependent lattice thermal conductivity

../../_images/fig_kappa_vs_grain_size5191.png

(b) Peierls lattice thermal conductivity w.r.t grain size

Phonon lifetime and scattering rates

../../_images/fig_lifetime5080.png

(a) Phonon lifetime due to phonon-phonon scattering

../../_images/fig_scat_rates5079.png

(b) Phonon scattering rates

Cumulative and spectral thermal conductivity

../../_images/fig_cumu_frequency5080.png

(a) Spectral and cumulative thermal conductivity w.r.t frequency

../../_images/fig_cumu_mfp5079.png

(b) Spectral and cumulative thermal conductivity w.r.t MFP

Force constants

../../_images/fig_fc212028.png

(a) Force constants w.r.t atomic distance

Summary

../../_images/fig_kappa9654.png

(a) Temperature-dependent lattice thermal conductivity

../../_images/fig_times20920.png

(b) Computation time