mp-27265/AuClO/anharm

Harmonic properties

../../_images/fig_bandos_pr12314.png

(a) Phonon dispersion with participation ratio and DOS

../../_images/fig_thermo12314.png

(b) Thermodynamic properties

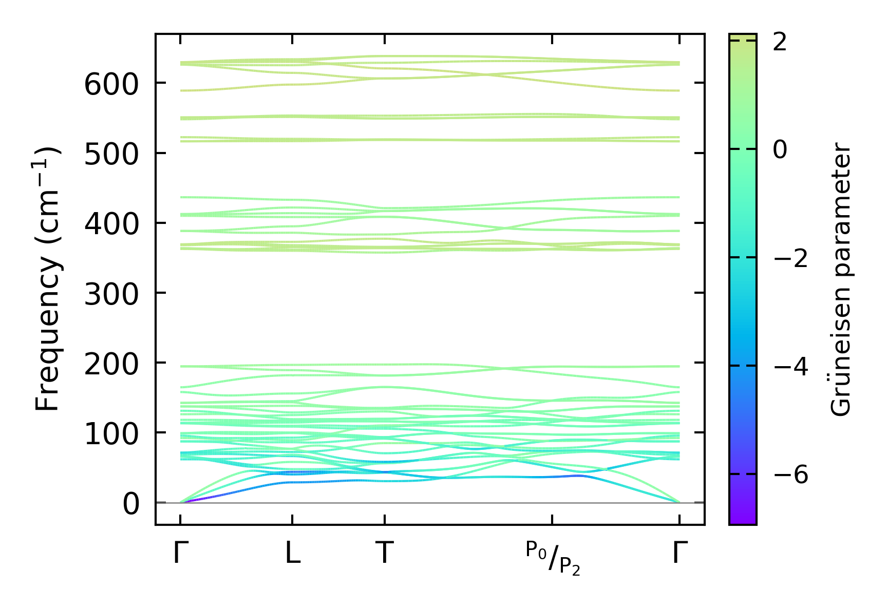
Grüneisen parameters

../../_images/fig_gru_all5123.png

(a) Grüneisen parameters

../../_images/fig_gruneisen5123.png

(b) Phonon dispersion with Grüneisen parameters

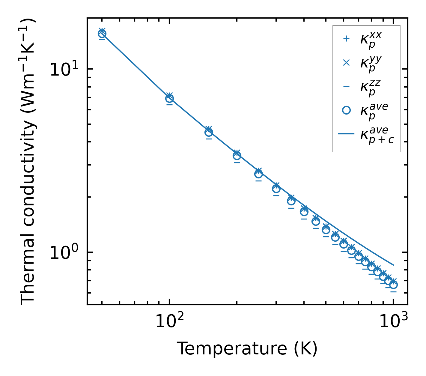
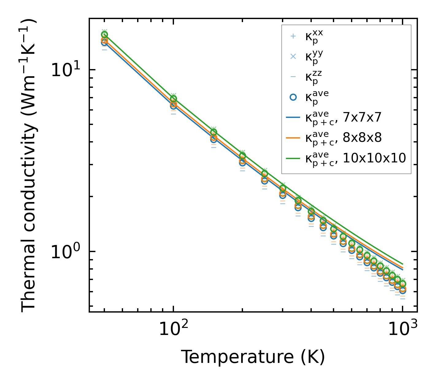
Thermal conductivity

3-phonon (LASSO) — q-mesh: 10x10x10, supercell: 1x1x2

../../_images/fig_kappa9639.png

(a) Temperature-dependent lattice thermal conductivity

../../_images/fig_kappa_vs_grain_size5182.png

(b) Peierls lattice thermal conductivity w.r.t grain size

Phonon lifetime and scattering rates

../../_images/fig_lifetime5072.png

(a) Phonon lifetime due to phonon-phonon scattering

../../_images/fig_scat_rates5071.png

(b) Phonon scattering rates

Cumulative and spectral thermal conductivity

../../_images/fig_cumu_frequency5072.png

(a) Spectral and cumulative thermal conductivity w.r.t frequency

../../_images/fig_cumu_mfp5071.png

(b) Spectral and cumulative thermal conductivity w.r.t MFP

Force constants

../../_images/fig_fc212013.png

(a) Force constants w.r.t atomic distance

Summary

../../_images/fig_kappa9640.png

(a) Temperature-dependent lattice thermal conductivity

../../_images/fig_times20893.png

(b) Computation time