mp-27804-2/Rb3Cu2Cl7/anharm

Harmonic properties

../../_images/fig_bandos_pr11905.png

(a) Phonon dispersion with participation ratio and DOS

../../_images/fig_thermo11905.png

(b) Thermodynamic properties

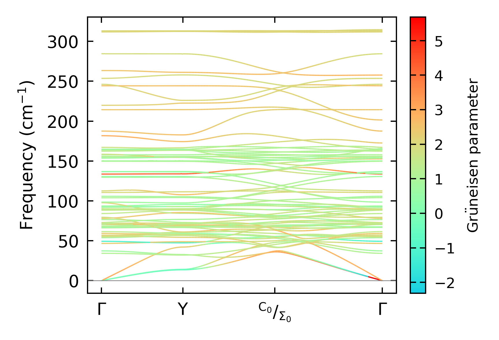
Grüneisen parameters

../../_images/fig_gru_all4962.png

(a) Grüneisen parameters

../../_images/fig_gruneisen4962.png

(b) Phonon dispersion with Grüneisen parameters

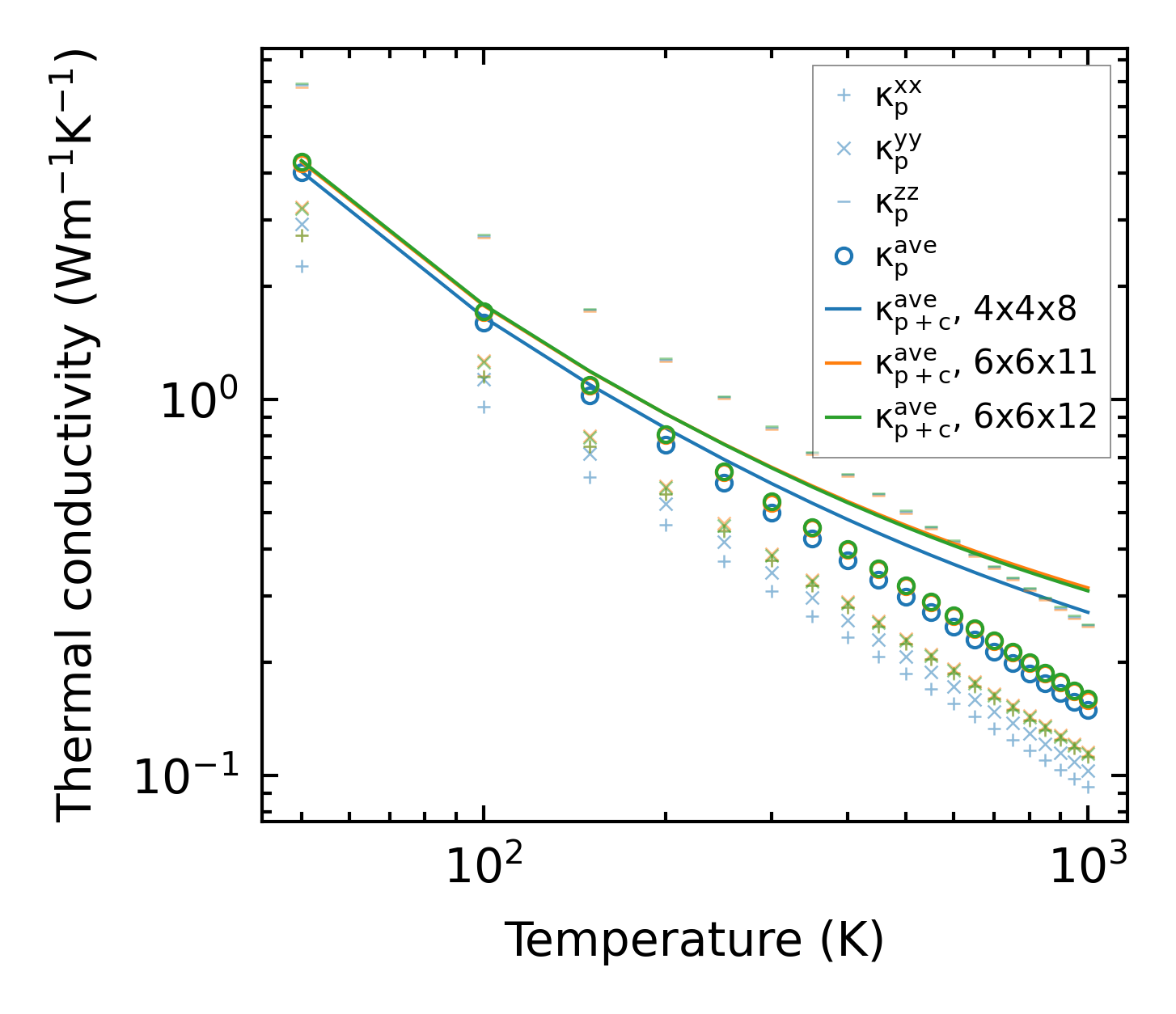
Thermal conductivity

3-phonon (LASSO) — q-mesh: 6x6x12, supercell: 2x1x1

../../_images/fig_kappa9352.png

(a) Temperature-dependent lattice thermal conductivity

../../_images/fig_kappa_vs_grain_size5020.png

(b) Peierls lattice thermal conductivity w.r.t grain size

Phonon lifetime and scattering rates

../../_images/fig_lifetime4912.png

(a) Phonon lifetime due to phonon-phonon scattering

../../_images/fig_scat_rates4911.png

(b) Phonon scattering rates

Cumulative and spectral thermal conductivity

../../_images/fig_cumu_frequency4912.png

(a) Spectral and cumulative thermal conductivity w.r.t frequency

../../_images/fig_cumu_mfp4911.png

(b) Spectral and cumulative thermal conductivity w.r.t MFP

Force constants

../../_images/fig_fc211616.png

(a) Force constants w.r.t atomic distance

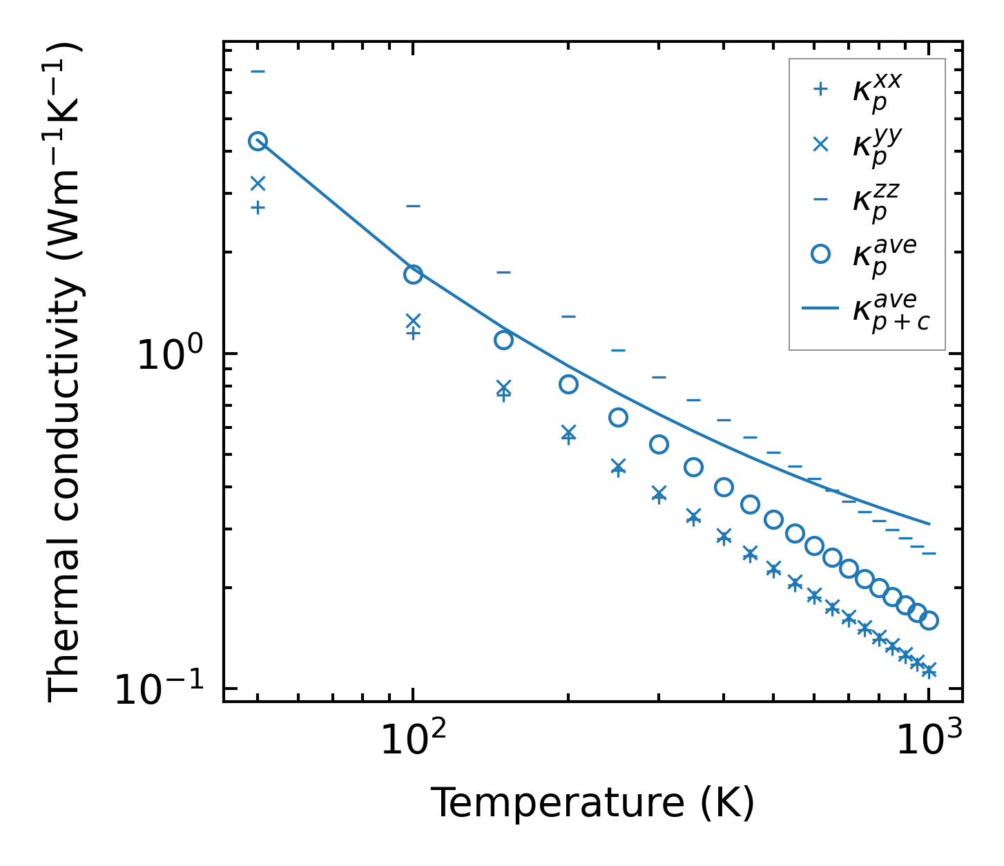
Summary

../../_images/fig_kappa9353.png

(a) Temperature-dependent lattice thermal conductivity

../../_images/fig_times20203.png

(b) Computation time