mp-27979/LaI3/anharm

Harmonic properties

../../_images/fig_bandos_pr11984.png

(a) Phonon dispersion with participation ratio and DOS

../../_images/fig_thermo11984.png

(b) Thermodynamic properties

Grüneisen parameters

../../_images/fig_gru_all4997.png

(a) Grüneisen parameters

../../_images/fig_gruneisen4997.png

(b) Phonon dispersion with Grüneisen parameters

Thermal conductivity

3-phonon (LASSO) — q-mesh: 11x11x8, supercell: 4x1x2

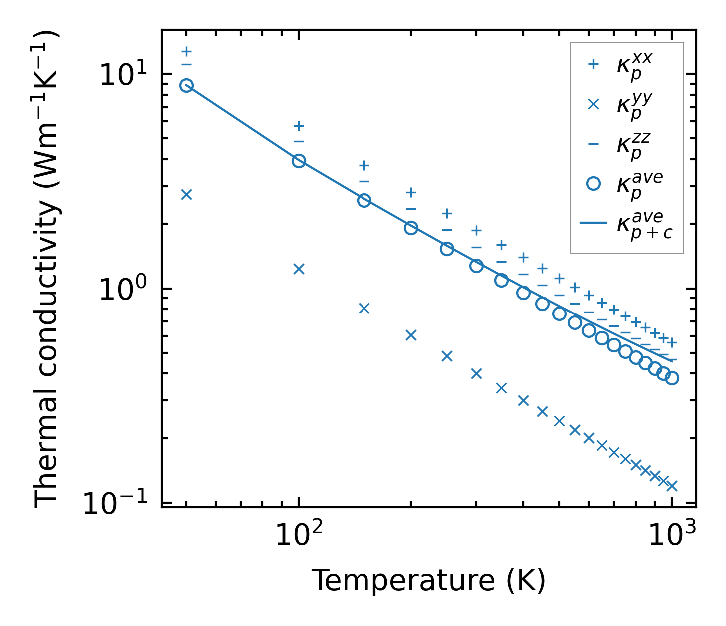
../../_images/fig_kappa9418.png

(a) Temperature-dependent lattice thermal conductivity

../../_images/fig_kappa_vs_grain_size5056.png

(b) Peierls lattice thermal conductivity w.r.t grain size

Phonon lifetime and scattering rates

../../_images/fig_lifetime4947.png

(a) Phonon lifetime due to phonon-phonon scattering

../../_images/fig_scat_rates4946.png

(b) Phonon scattering rates

Cumulative and spectral thermal conductivity

../../_images/fig_cumu_frequency4947.png

(a) Spectral and cumulative thermal conductivity w.r.t frequency

../../_images/fig_cumu_mfp4946.png

(b) Spectral and cumulative thermal conductivity w.r.t MFP

Force constants

../../_images/fig_fc211687.png

(a) Force constants w.r.t atomic distance

Summary

../../_images/fig_kappa9419.png

(a) Temperature-dependent lattice thermal conductivity

../../_images/fig_times20323.png

(b) Computation time