mp-27698/Y6UO12/anharm

Harmonic properties

../../_images/fig_bandos_pr12191.png

(a) Phonon dispersion with participation ratio and DOS

../../_images/fig_thermo12191.png

(b) Thermodynamic properties

Grüneisen parameters

../../_images/fig_gru_all5089.png

(a) Grüneisen parameters

../../_images/fig_gruneisen5089.png

(b) Phonon dispersion with Grüneisen parameters

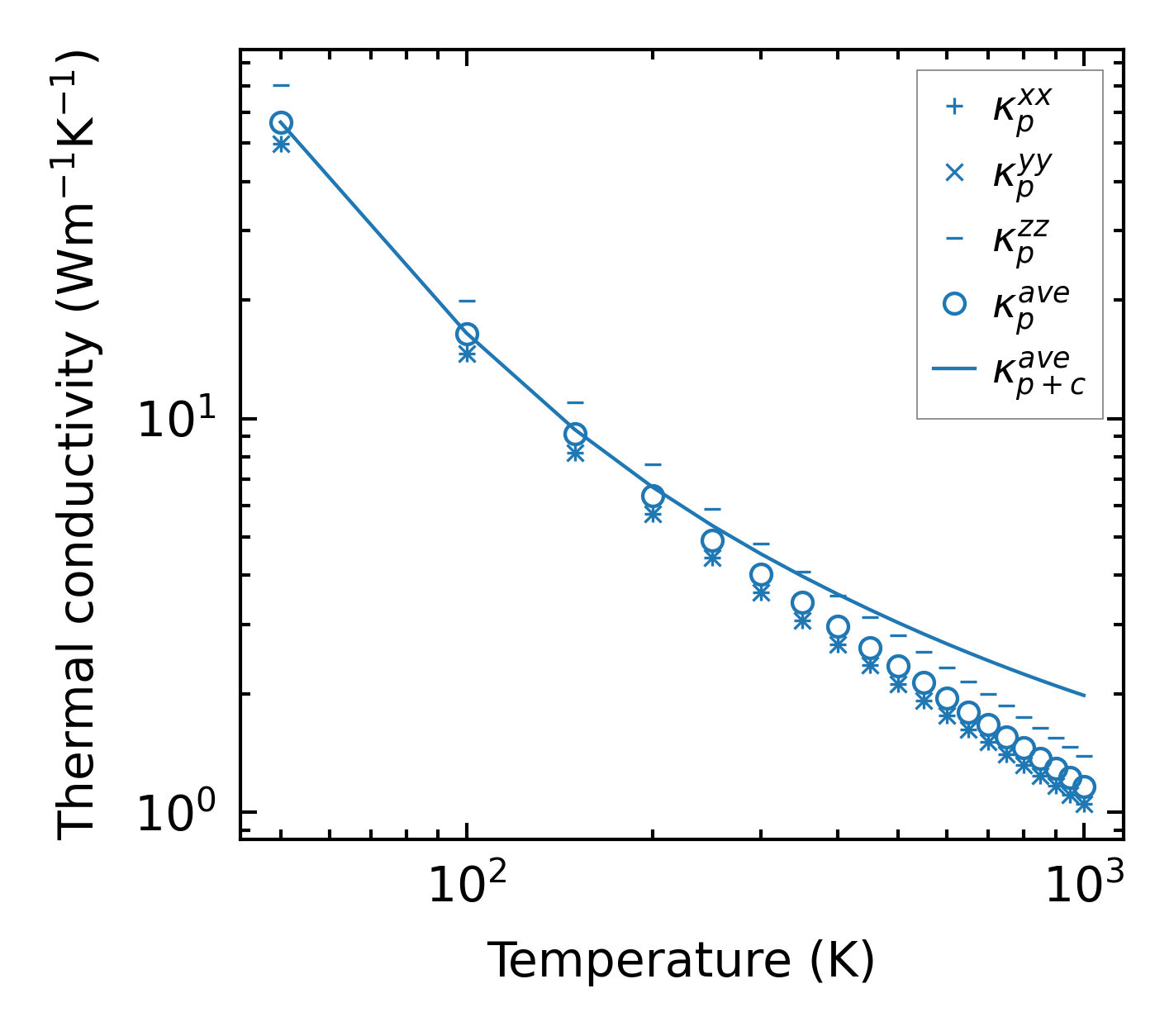
Thermal conductivity

3-phonon (LASSO) — q-mesh: 11x11x11, supercell: 1x1x2

../../_images/fig_kappa9577.png

(a) Temperature-dependent lattice thermal conductivity

../../_images/fig_kappa_vs_grain_size5149.png

(b) Peierls lattice thermal conductivity w.r.t grain size

Phonon lifetime and scattering rates

../../_images/fig_lifetime5039.png

(a) Phonon lifetime due to phonon-phonon scattering

../../_images/fig_scat_rates5038.png

(b) Phonon scattering rates

Cumulative and spectral thermal conductivity

../../_images/fig_cumu_frequency5039.png

(a) Spectral and cumulative thermal conductivity w.r.t frequency

../../_images/fig_cumu_mfp5038.png

(b) Spectral and cumulative thermal conductivity w.r.t MFP

Force constants

../../_images/fig_fc211891.png

(a) Force constants w.r.t atomic distance

Summary

../../_images/fig_kappa9578.png

(a) Temperature-dependent lattice thermal conductivity

../../_images/fig_times20660.png

(b) Computation time