mp-27449/GaTeCl/anharm

Harmonic properties

../../_images/fig_bandos_pr12098.png

(a) Phonon dispersion with participation ratio and DOS

../../_images/fig_thermo12098.png

(b) Thermodynamic properties

Grüneisen parameters

../../_images/fig_gru_all5048.png

(a) Grüneisen parameters

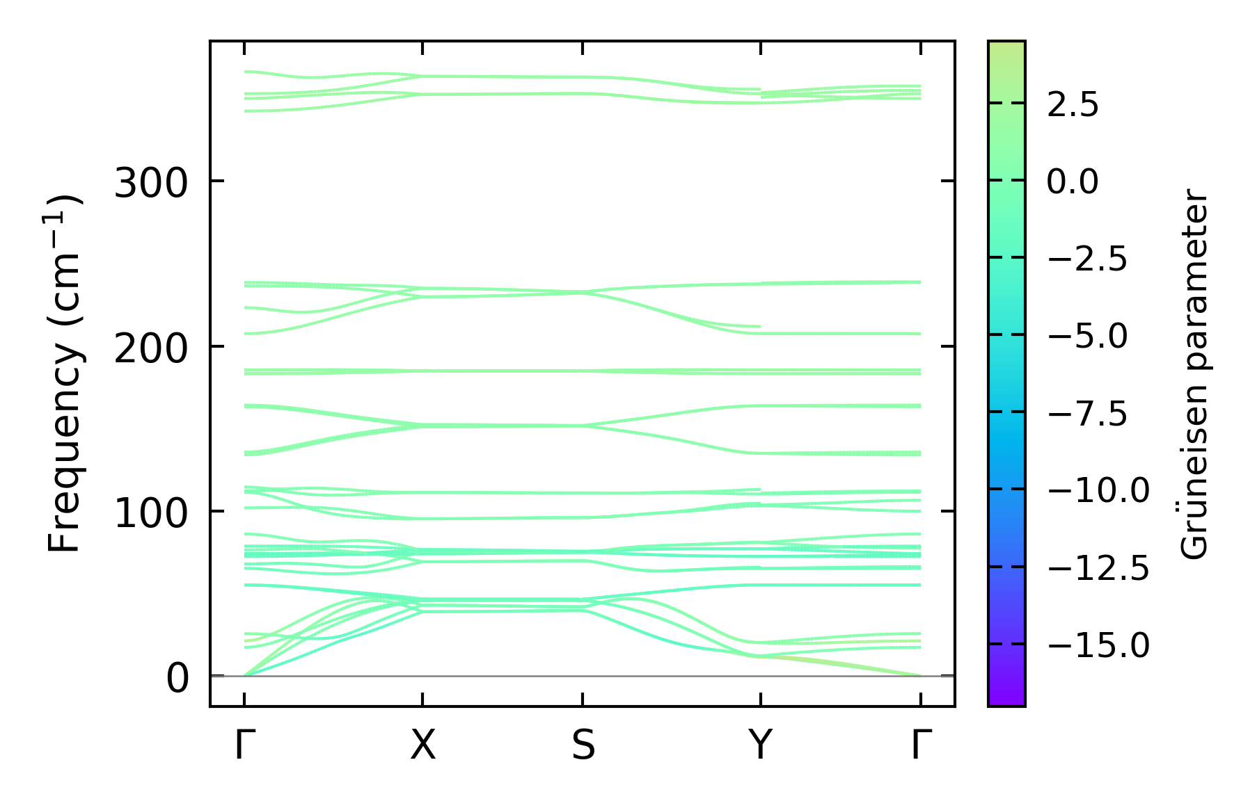
../../_images/fig_gruneisen5048.png

(b) Phonon dispersion with Grüneisen parameters

Thermal conductivity

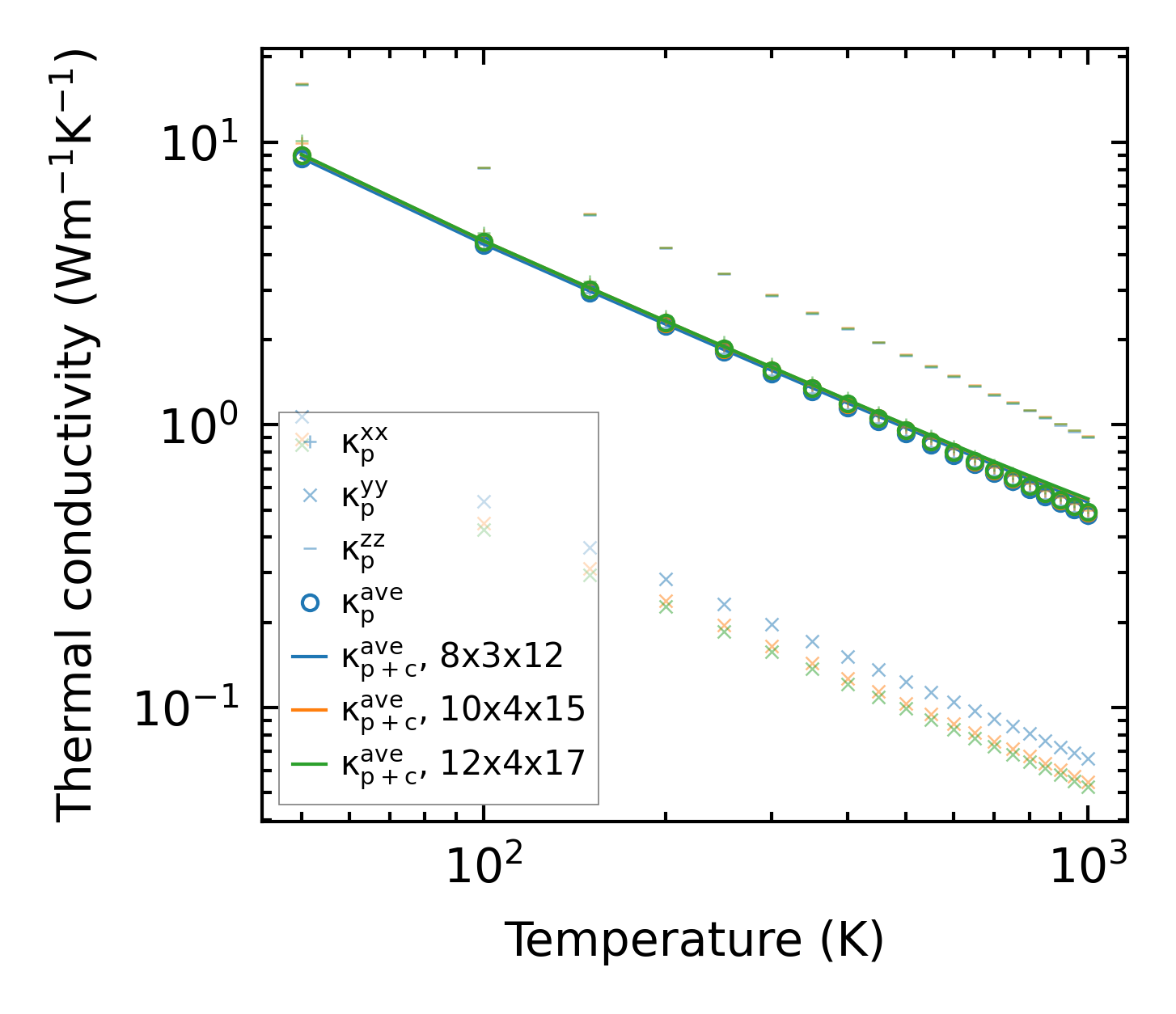
3-phonon (LASSO) — q-mesh: 12x4x17, supercell: 3x1x4

../../_images/fig_kappa9504.png

(a) Temperature-dependent lattice thermal conductivity

../../_images/fig_kappa_vs_grain_size5107.png

(b) Peierls lattice thermal conductivity w.r.t grain size

Phonon lifetime and scattering rates

../../_images/fig_lifetime4998.png

(a) Phonon lifetime due to phonon-phonon scattering

../../_images/fig_scat_rates4997.png

(b) Phonon scattering rates

Cumulative and spectral thermal conductivity

../../_images/fig_cumu_frequency4998.png

(a) Spectral and cumulative thermal conductivity w.r.t frequency

../../_images/fig_cumu_mfp4997.png

(b) Spectral and cumulative thermal conductivity w.r.t MFP

Force constants

../../_images/fig_fc211799.png

(a) Force constants w.r.t atomic distance

Summary

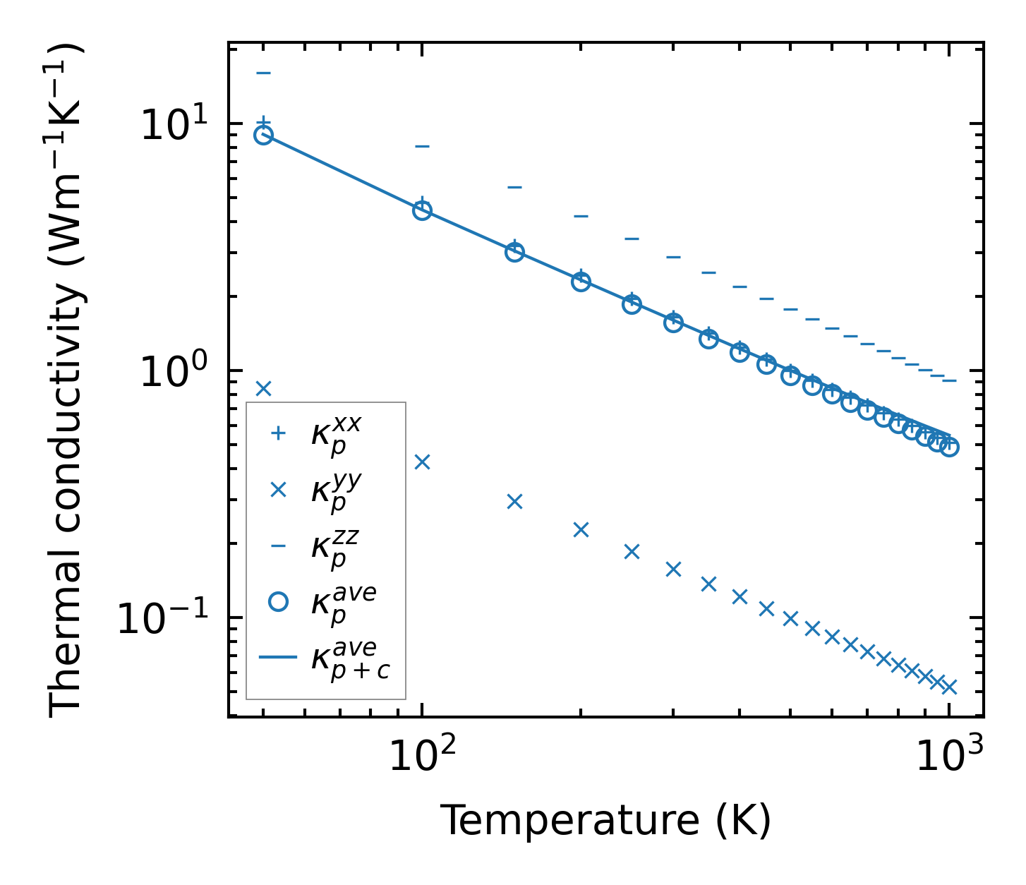
../../_images/fig_kappa9505.png

(a) Temperature-dependent lattice thermal conductivity

../../_images/fig_times20499.png

(b) Computation time