mp-27857-2/PdBr2/anharm

Harmonic properties

../../_images/fig_bandos_pr11937.png

(a) Phonon dispersion with participation ratio and DOS

../../_images/fig_thermo11937.png

(b) Thermodynamic properties

Grüneisen parameters

../../_images/fig_gru_all4976.png

(a) Grüneisen parameters

../../_images/fig_gruneisen4976.png

(b) Phonon dispersion with Grüneisen parameters

Thermal conductivity

3-phonon (LASSO) — q-mesh: 13x13x13, supercell: 1x4x3

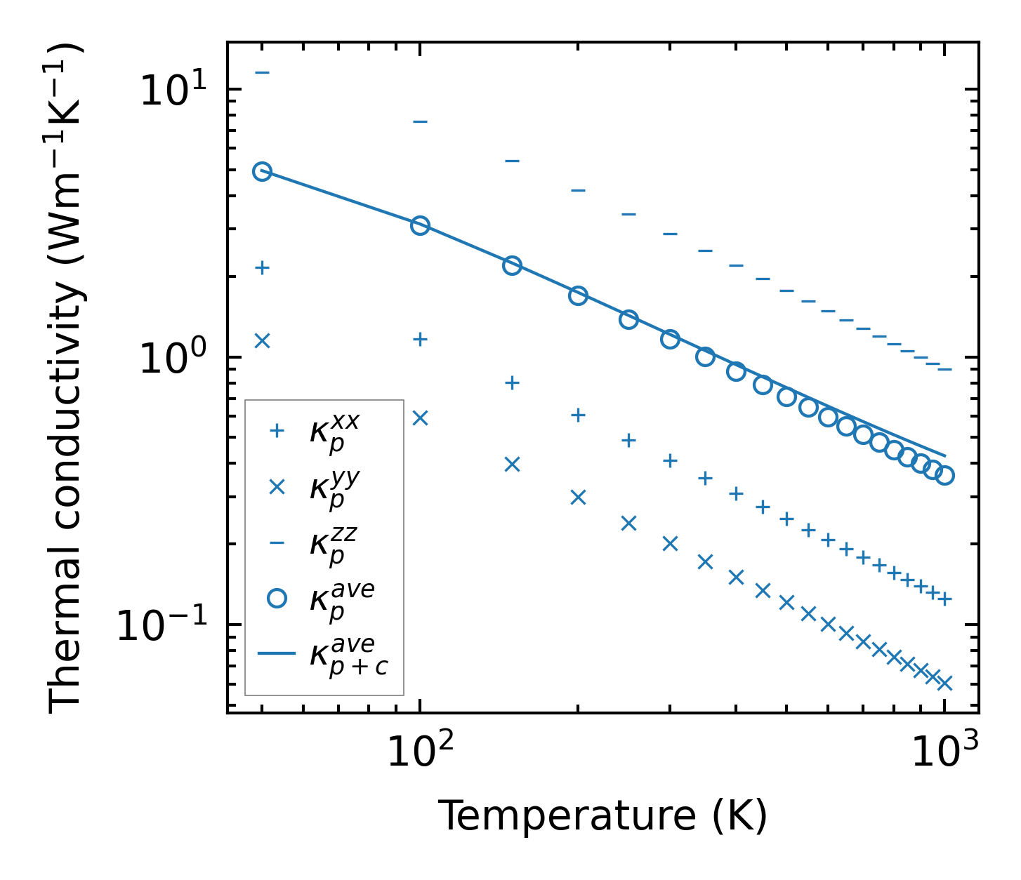
../../_images/fig_kappa9378.png

(a) Temperature-dependent lattice thermal conductivity

../../_images/fig_kappa_vs_grain_size5034.png

(b) Peierls lattice thermal conductivity w.r.t grain size

Phonon lifetime and scattering rates

../../_images/fig_lifetime4926.png

(a) Phonon lifetime due to phonon-phonon scattering

../../_images/fig_scat_rates4925.png

(b) Phonon scattering rates

Cumulative and spectral thermal conductivity

../../_images/fig_cumu_frequency4926.png

(a) Spectral and cumulative thermal conductivity w.r.t frequency

../../_images/fig_cumu_mfp4925.png

(b) Spectral and cumulative thermal conductivity w.r.t MFP

Force constants

../../_images/fig_fc211642.png

(a) Force constants w.r.t atomic distance

Summary

../../_images/fig_kappa9379.png

(a) Temperature-dependent lattice thermal conductivity

../../_images/fig_times20247.png

(b) Computation time