mp-27482/Ag4P2S7/anharm

Harmonic properties

../../_images/fig_bandos_pr12114.png

(a) Phonon dispersion with participation ratio and DOS

../../_images/fig_thermo12114.png

(b) Thermodynamic properties

Grüneisen parameters

../../_images/fig_gru_all5054.png

(a) Grüneisen parameters

../../_images/fig_gruneisen5054.png

(b) Phonon dispersion with Grüneisen parameters

Thermal conductivity

3-phonon (LASSO) — q-mesh: 12x12x4, supercell: 1x2x1

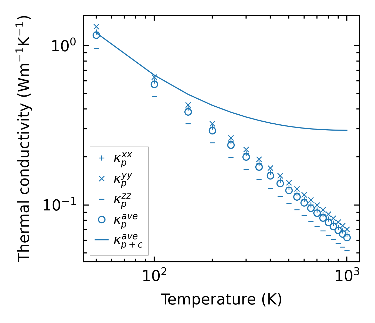
../../_images/fig_kappa9514.png

(a) Temperature-dependent lattice thermal conductivity

../../_images/fig_kappa_vs_grain_size5113.png

(b) Peierls lattice thermal conductivity w.r.t grain size

Phonon lifetime and scattering rates

../../_images/fig_lifetime5004.png

(a) Phonon lifetime due to phonon-phonon scattering

../../_images/fig_scat_rates5003.png

(b) Phonon scattering rates

Cumulative and spectral thermal conductivity

../../_images/fig_cumu_frequency5004.png

(a) Spectral and cumulative thermal conductivity w.r.t frequency

../../_images/fig_cumu_mfp5003.png

(b) Spectral and cumulative thermal conductivity w.r.t MFP

Force constants

../../_images/fig_fc211815.png

(a) Force constants w.r.t atomic distance

Summary

../../_images/fig_kappa9515.png

(a) Temperature-dependent lattice thermal conductivity

../../_images/fig_times20521.png

(b) Computation time