mp-27866/MoS2Cl3/anharm

Harmonic properties

../../_images/fig_bandos_pr11943.png

(a) Phonon dispersion with participation ratio and DOS

../../_images/fig_thermo11943.png

(b) Thermodynamic properties

Grüneisen parameters

../../_images/fig_gru_all4979.png

(a) Grüneisen parameters

../../_images/fig_gruneisen4979.png

(b) Phonon dispersion with Grüneisen parameters

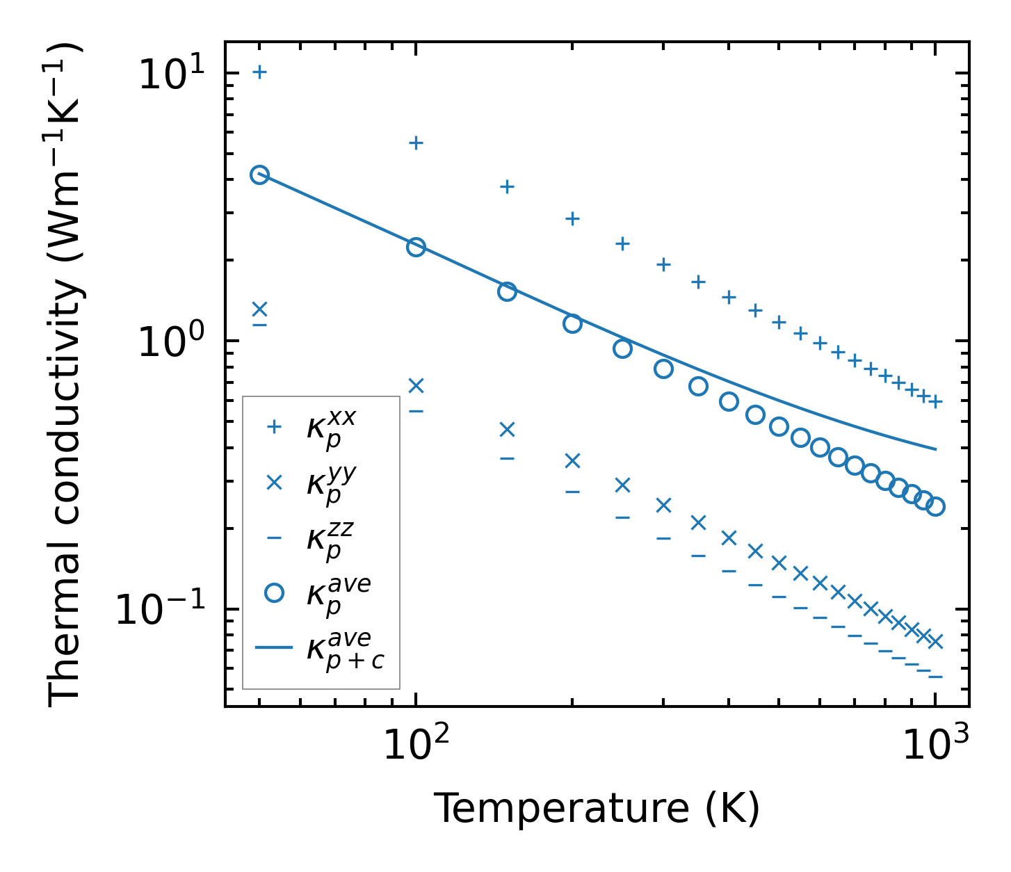
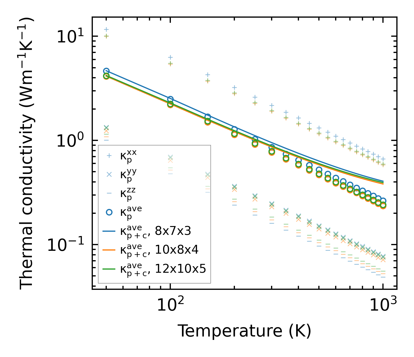
Thermal conductivity

3-phonon (LASSO) — q-mesh: 12x10x5, supercell: 3x2x1

../../_images/fig_kappa9385.png

(a) Temperature-dependent lattice thermal conductivity

../../_images/fig_kappa_vs_grain_size5038.png

(b) Peierls lattice thermal conductivity w.r.t grain size

Phonon lifetime and scattering rates

../../_images/fig_lifetime4929.png

(a) Phonon lifetime due to phonon-phonon scattering

../../_images/fig_scat_rates4928.png

(b) Phonon scattering rates

Cumulative and spectral thermal conductivity

../../_images/fig_cumu_frequency4929.png

(a) Spectral and cumulative thermal conductivity w.r.t frequency

../../_images/fig_cumu_mfp4928.png

(b) Spectral and cumulative thermal conductivity w.r.t MFP

Force constants

../../_images/fig_fc211648.png

(a) Force constants w.r.t atomic distance

Summary

../../_images/fig_kappa9386.png

(a) Temperature-dependent lattice thermal conductivity

../../_images/fig_times20255.png

(b) Computation time