mp-27243/K2PtBr4/anharm

Harmonic properties

../../_images/fig_bandos_pr12302.png

(a) Phonon dispersion with participation ratio and DOS

../../_images/fig_thermo12302.png

(b) Thermodynamic properties

Grüneisen parameters

../../_images/fig_gru_all5118.png

(a) Grüneisen parameters

../../_images/fig_gruneisen5118.png

(b) Phonon dispersion with Grüneisen parameters

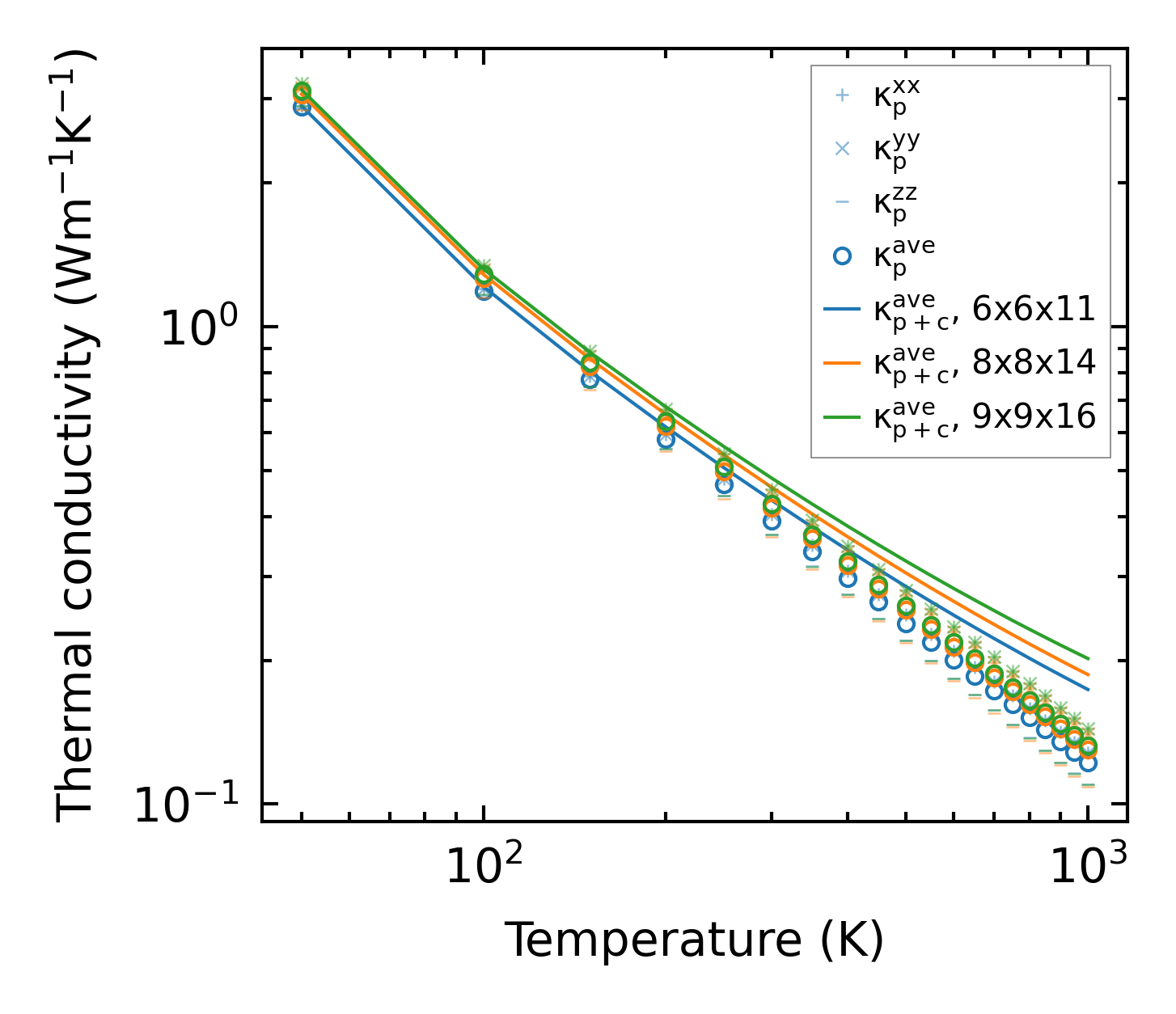
Thermal conductivity

3-phonon (LASSO) — q-mesh: 9x9x16, supercell: 2x2x4

../../_images/fig_kappa9629.png

(a) Temperature-dependent lattice thermal conductivity

../../_images/fig_kappa_vs_grain_size5177.png

(b) Peierls lattice thermal conductivity w.r.t grain size

Phonon lifetime and scattering rates

../../_images/fig_lifetime5067.png

(a) Phonon lifetime due to phonon-phonon scattering

../../_images/fig_scat_rates5066.png

(b) Phonon scattering rates

Cumulative and spectral thermal conductivity

../../_images/fig_cumu_frequency5067.png

(a) Spectral and cumulative thermal conductivity w.r.t frequency

../../_images/fig_cumu_mfp5066.png

(b) Spectral and cumulative thermal conductivity w.r.t MFP

Force constants

../../_images/fig_fc212001.png

(a) Force constants w.r.t atomic distance

Summary

../../_images/fig_kappa9630.png

(a) Temperature-dependent lattice thermal conductivity

../../_images/fig_times20875.png

(b) Computation time