mp-27428-2/KBrO4/anharm

Equation of state

../../_images/fig_bm5921.png

(a) Equation of state

Harmonic properties

../../_images/fig_bandos_pr12091.png

(a) Phonon dispersion with participation ratio and DOS

../../_images/fig_bandos16173.png

(b) Phonon dispersion and DOS

../../_images/fig_thermo12091.png

(c) Thermodynamic properties

Grüneisen parameters

../../_images/fig_gru_all5045.png

(a) Grüneisen parameters

../../_images/fig_gruneisen5045.png

(b) Phonon dispersion with Grüneisen parameters

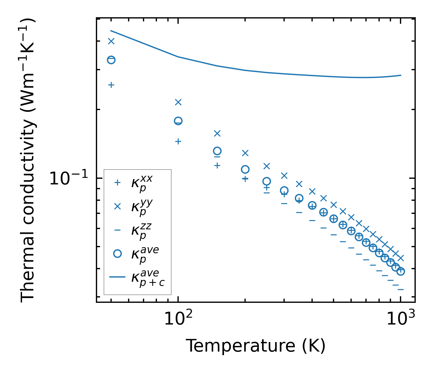
Thermal conductivity

3-phonon (LASSO) — q-mesh: 7x12x9, supercell: 1x2x2

../../_images/fig_kappa9499.png

(a) Temperature-dependent lattice thermal conductivity

../../_images/fig_kappa_vs_grain_size5104.png

(b) Peierls lattice thermal conductivity w.r.t grain size

Phonon lifetime and scattering rates

../../_images/fig_lifetime4995.png

(a) Phonon lifetime due to phonon-phonon scattering

../../_images/fig_scat_rates4994.png

(b) Phonon scattering rates

Cumulative and spectral thermal conductivity

../../_images/fig_cumu_frequency4995.png

(a) Spectral and cumulative thermal conductivity w.r.t frequency

../../_images/fig_cumu_mfp4994.png

(b) Spectral and cumulative thermal conductivity w.r.t MFP

Force constants

../../_images/fig_fc211793.png

(a) Force constants w.r.t atomic distance

Summary

../../_images/fig_kappa9500.png

(a) Temperature-dependent lattice thermal conductivity

../../_images/fig_times20488.png

(b) Computation time