mp-27880/Nb3Cl7/anharm

Harmonic properties

../../_images/fig_bandos_pr11946.png

(a) Phonon dispersion with participation ratio and DOS

../../_images/fig_thermo11946.png

(b) Thermodynamic properties

Grüneisen parameters

../../_images/fig_gru_all4982.png

(a) Grüneisen parameters

../../_images/fig_gruneisen4982.png

(b) Phonon dispersion with Grüneisen parameters

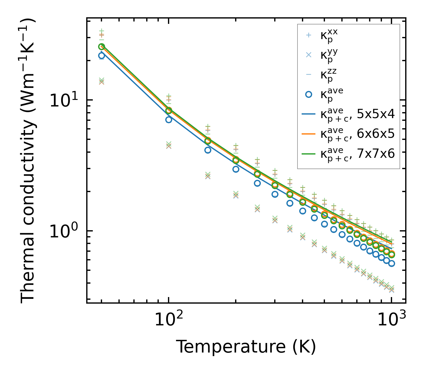
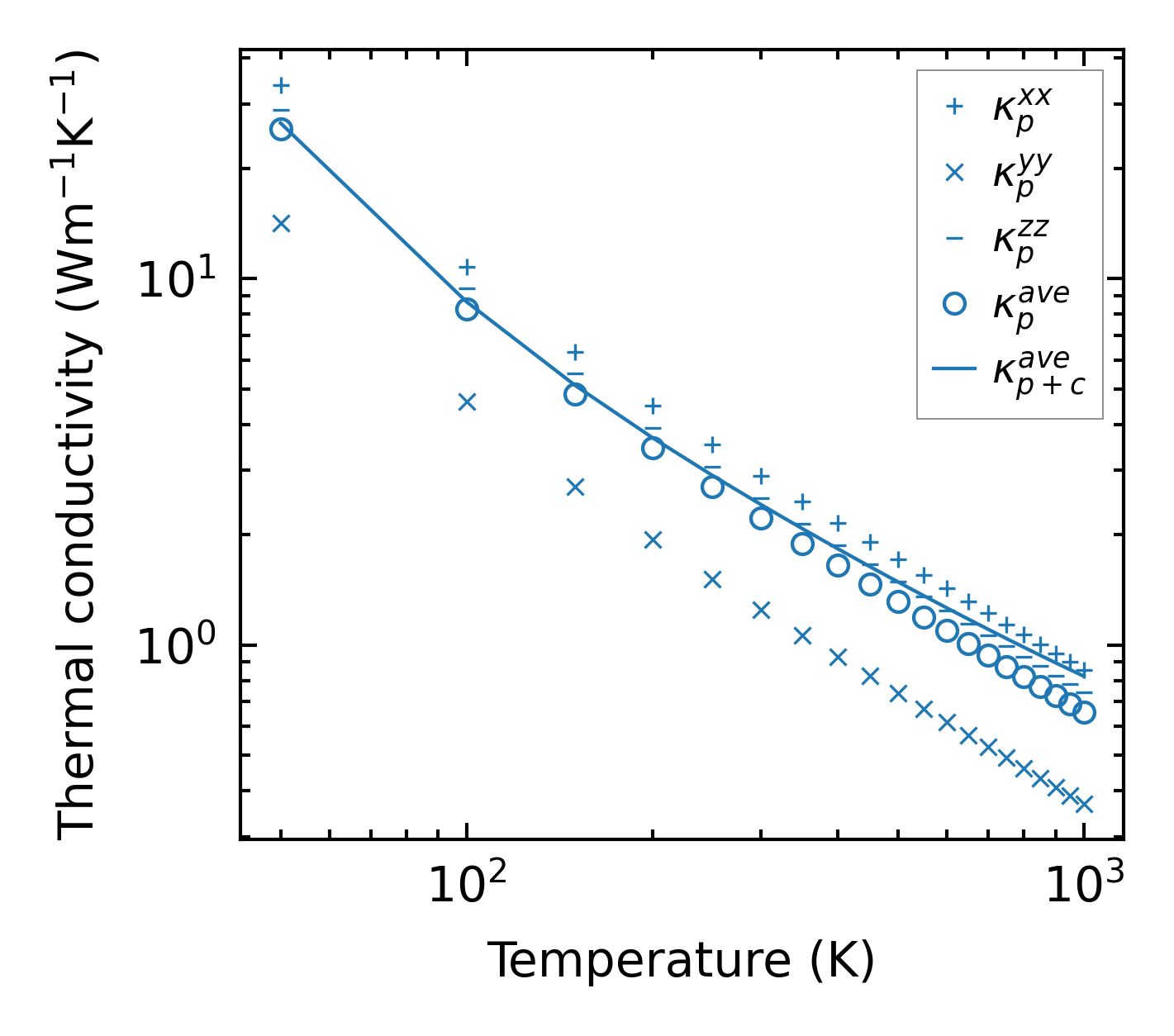
Thermal conductivity

3-phonon (LASSO) — q-mesh: 7x7x6, supercell: 1x1x1

../../_images/fig_kappa9391.png

(a) Temperature-dependent lattice thermal conductivity

../../_images/fig_kappa_vs_grain_size5041.png

(b) Peierls lattice thermal conductivity w.r.t grain size

Phonon lifetime and scattering rates

../../_images/fig_lifetime4932.png

(a) Phonon lifetime due to phonon-phonon scattering

../../_images/fig_scat_rates4931.png

(b) Phonon scattering rates

Cumulative and spectral thermal conductivity

../../_images/fig_cumu_frequency4932.png

(a) Spectral and cumulative thermal conductivity w.r.t frequency

../../_images/fig_cumu_mfp4931.png

(b) Spectral and cumulative thermal conductivity w.r.t MFP

Force constants

../../_images/fig_fc211650.png

(a) Force constants w.r.t atomic distance

Summary

../../_images/fig_kappa9392.png

(a) Temperature-dependent lattice thermal conductivity

../../_images/fig_times20262.png

(b) Computation time