mp-27352/SrAg6O4/anharm

Harmonic properties

../../_images/fig_bandos_pr12045.png

(a) Phonon dispersion with participation ratio and DOS

../../_images/fig_thermo12045.png

(b) Thermodynamic properties

Grüneisen parameters

../../_images/fig_gru_all5020.png

(a) Grüneisen parameters

../../_images/fig_gruneisen5020.png

(b) Phonon dispersion with Grüneisen parameters

Thermal conductivity

3-phonon (LASSO) — q-mesh: 11x5x8, supercell: 2x1x1

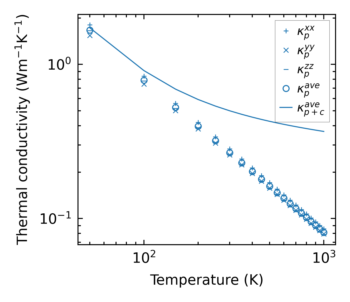
../../_images/fig_kappa9460.png

(a) Temperature-dependent lattice thermal conductivity

../../_images/fig_kappa_vs_grain_size5079.png

(b) Peierls lattice thermal conductivity w.r.t grain size

Phonon lifetime and scattering rates

../../_images/fig_lifetime4970.png

(a) Phonon lifetime due to phonon-phonon scattering

../../_images/fig_scat_rates4969.png

(b) Phonon scattering rates

Cumulative and spectral thermal conductivity

../../_images/fig_cumu_frequency4970.png

(a) Spectral and cumulative thermal conductivity w.r.t frequency

../../_images/fig_cumu_mfp4969.png

(b) Spectral and cumulative thermal conductivity w.r.t MFP

Force constants

../../_images/fig_fc211747.png

(a) Force constants w.r.t atomic distance

Summary

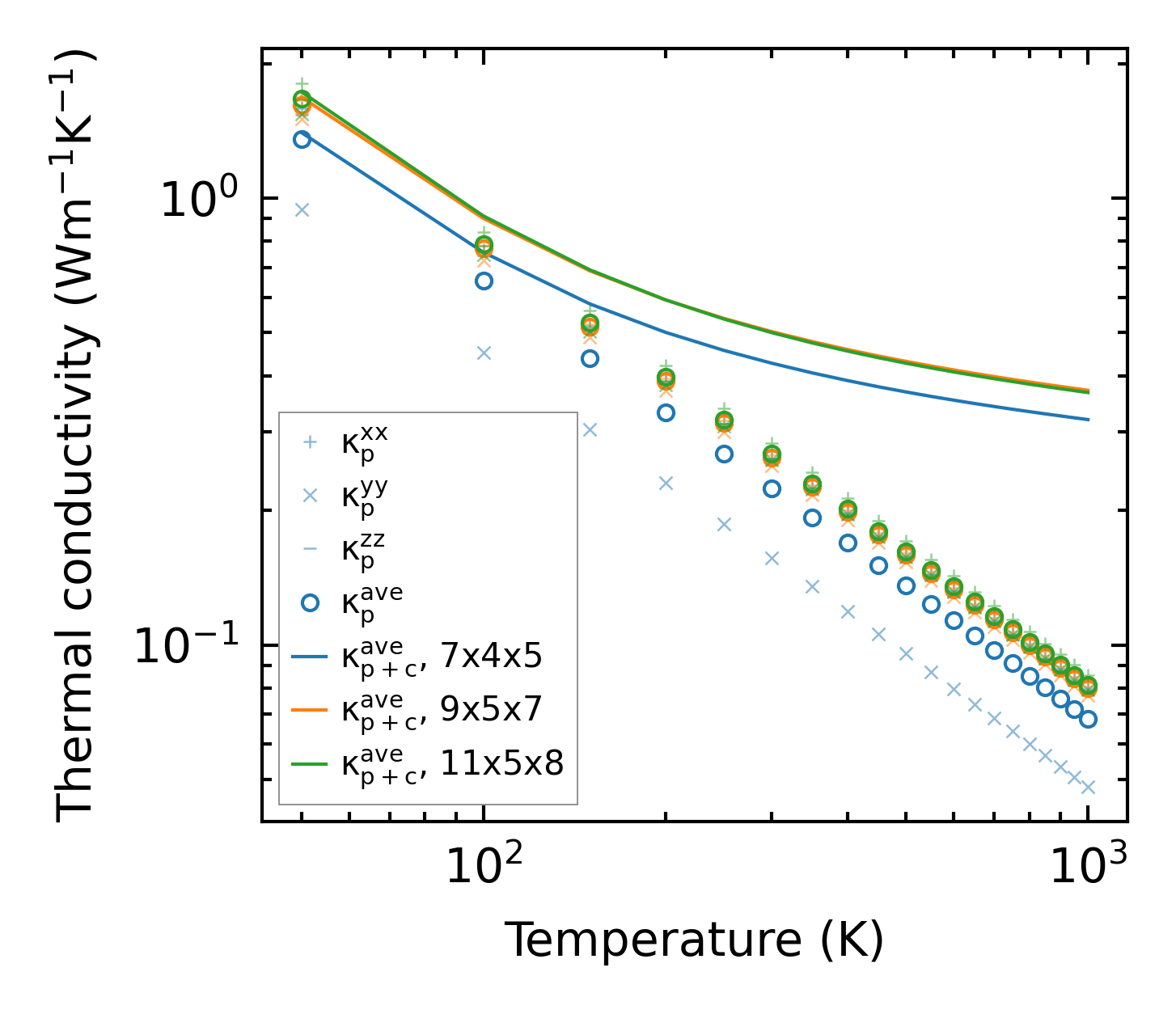
../../_images/fig_kappa9461.png

(a) Temperature-dependent lattice thermal conductivity

../../_images/fig_times20419.png

(b) Computation time