mp-27926-2/AsClF8/harm

Equation of state

../../_images/fig_bm5843.png

(a) Equation of state

Harmonic properties

../../_images/fig_bandos_pr11959.png

(a) Phonon dispersion with participation ratio and DOS

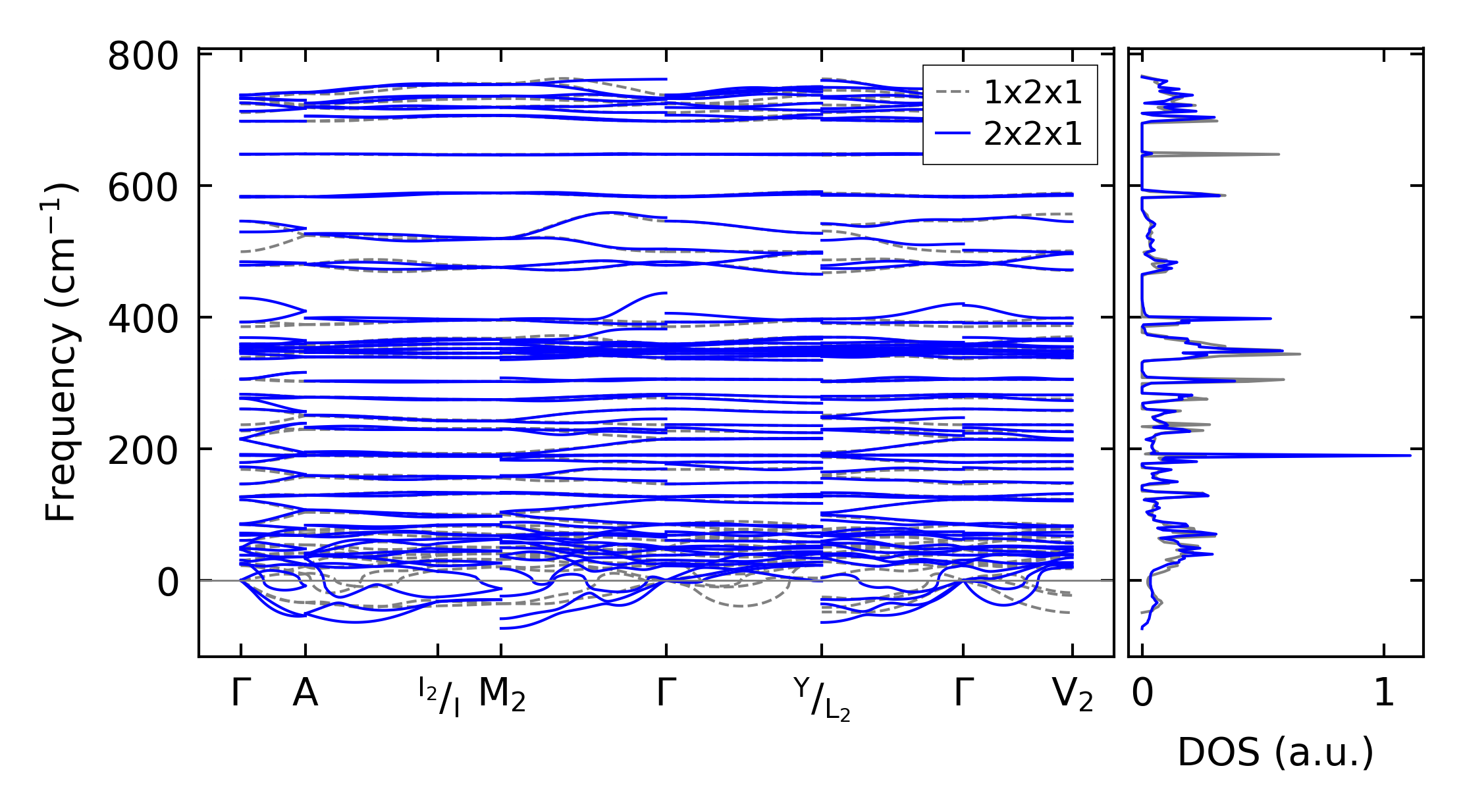
../../_images/fig_bandos16015.png

(b) Phonon dispersion and DOS

../../_images/fig_thermo11959.png

(c) Thermodynamic properties

Force constants

../../_images/fig_fc211662.png

(a) Force constants w.r.t atomic distance

Summary

../../_images/fig_times20289.png

(a) Computation time