mp-27689/PH4Br/anharm

Harmonic properties

../../_images/fig_bandos_pr12185.png

(a) Phonon dispersion with participation ratio and DOS

../../_images/fig_thermo12185.png

(b) Thermodynamic properties

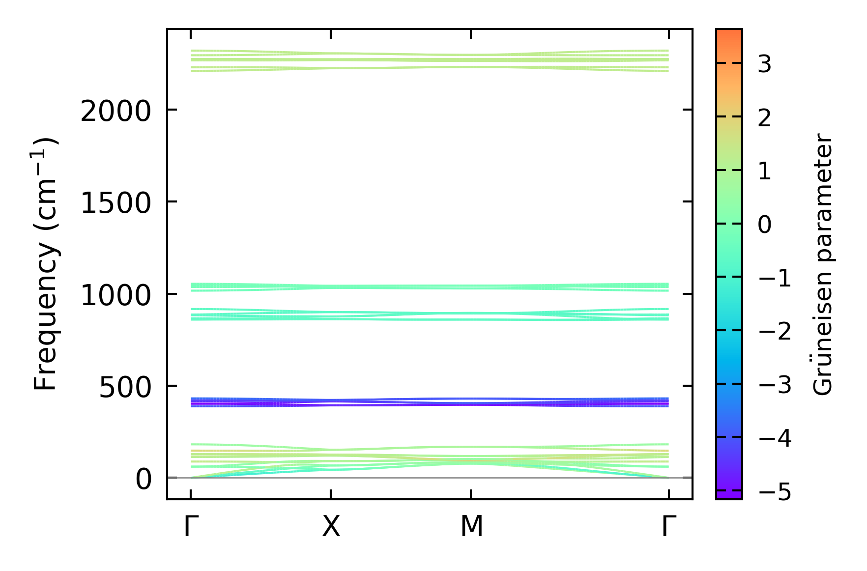
Grüneisen parameters

../../_images/fig_gru_all5087.png

(a) Grüneisen parameters

../../_images/fig_gruneisen5087.png

(b) Phonon dispersion with Grüneisen parameters

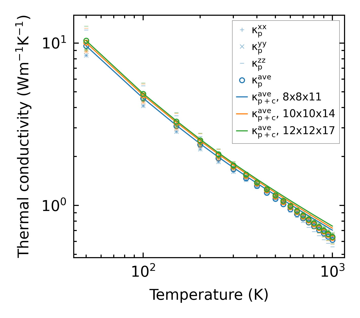
Thermal conductivity

3-phonon (LASSO) — q-mesh: 12x12x17, supercell: 2x2x3

../../_images/fig_kappa9574.png

(a) Temperature-dependent lattice thermal conductivity

../../_images/fig_kappa_vs_grain_size5147.png

(b) Peierls lattice thermal conductivity w.r.t grain size

Phonon lifetime and scattering rates

../../_images/fig_lifetime5037.png

(a) Phonon lifetime due to phonon-phonon scattering

../../_images/fig_scat_rates5036.png

(b) Phonon scattering rates

Cumulative and spectral thermal conductivity

../../_images/fig_cumu_frequency5037.png

(a) Spectral and cumulative thermal conductivity w.r.t frequency

../../_images/fig_cumu_mfp5036.png

(b) Spectral and cumulative thermal conductivity w.r.t MFP

Force constants

../../_images/fig_fc211885.png

(a) Force constants w.r.t atomic distance

Summary

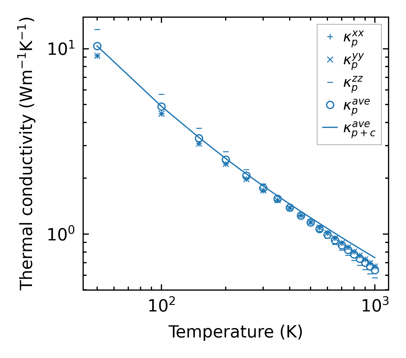
../../_images/fig_kappa9575.png

(a) Temperature-dependent lattice thermal conductivity

../../_images/fig_times20651.png

(b) Computation time