mp-27488-2/Ta3N5/anharm

Equation of state

../../_images/fig_bm5940.png

(a) Equation of state

Harmonic properties

../../_images/fig_bandos_pr12118.png

(a) Phonon dispersion with participation ratio and DOS

../../_images/fig_bandos16210.png

(b) Phonon dispersion and DOS

../../_images/fig_thermo12118.png

(c) Thermodynamic properties

Grüneisen parameters

../../_images/fig_gru_all5057.png

(a) Grüneisen parameters

../../_images/fig_gruneisen5057.png

(b) Phonon dispersion with Grüneisen parameters

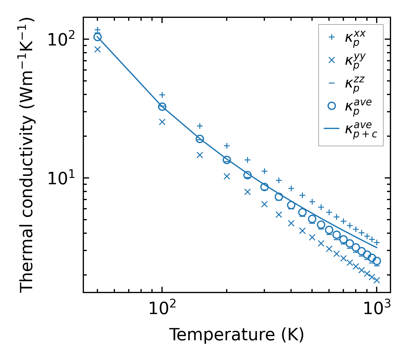
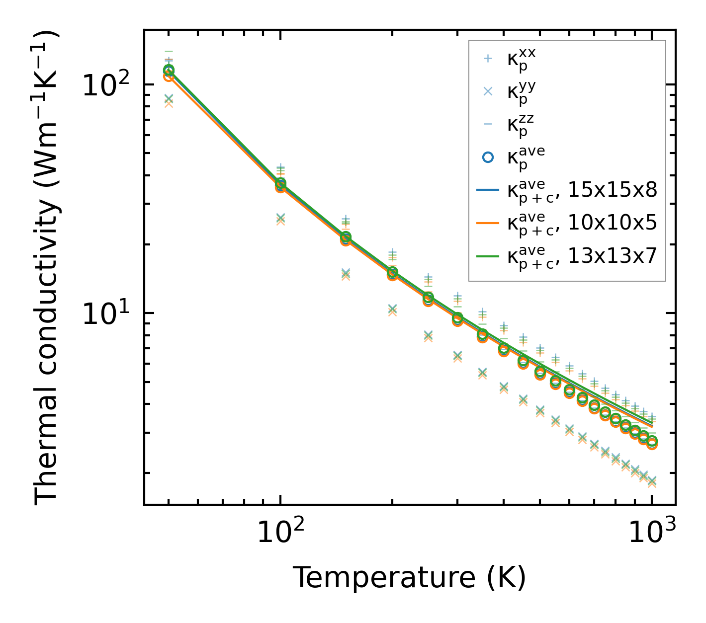
Thermal conductivity

3-phonon (LASSO) — q-mesh: 15x15x8, supercell: 3x1x1

../../_images/fig_kappa9519.png

(a) Temperature-dependent lattice thermal conductivity

../../_images/fig_kappa_vs_grain_size5116.png

(b) Peierls lattice thermal conductivity w.r.t grain size

3-phonon (LASSO), supercell 3x2x1 — q-mesh: 15x15x8, supercell: 3x2x1

../../_images/fig_kappa9520.png

(a) Temperature-dependent lattice thermal conductivity

../../_images/fig_kappa_vs_grain_size5117.png

(b) Peierls lattice thermal conductivity w.r.t grain size

Phonon lifetime and scattering rates

../../_images/fig_lifetime5007.png

(a) Phonon lifetime due to phonon-phonon scattering

../../_images/fig_scat_rates5006.png

(b) Phonon scattering rates

Cumulative and spectral thermal conductivity

../../_images/fig_cumu_frequency5007.png

(a) Spectral and cumulative thermal conductivity w.r.t frequency

../../_images/fig_cumu_mfp5006.png

(b) Spectral and cumulative thermal conductivity w.r.t MFP

Force constants

../../_images/fig_fc211819.png

(a) Force constants w.r.t atomic distance

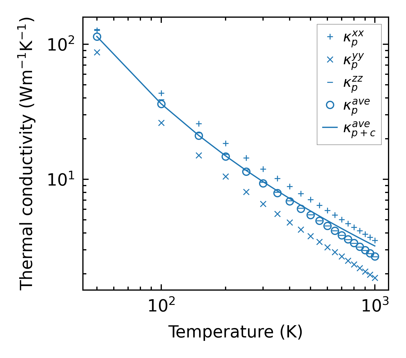
Summary

../../_images/fig_kappa9521.png

(a) Temperature-dependent lattice thermal conductivity

../../_images/fig_times20532.png

(b) Computation time