mp-5999-2/Sm2Ti2S2O5/anharm

Equation of state

../../_images/fig_bm4884.png

(a) Equation of state

Harmonic properties

../../_images/fig_bandos_pr9789.png

(a) Phonon dispersion with participation ratio and DOS

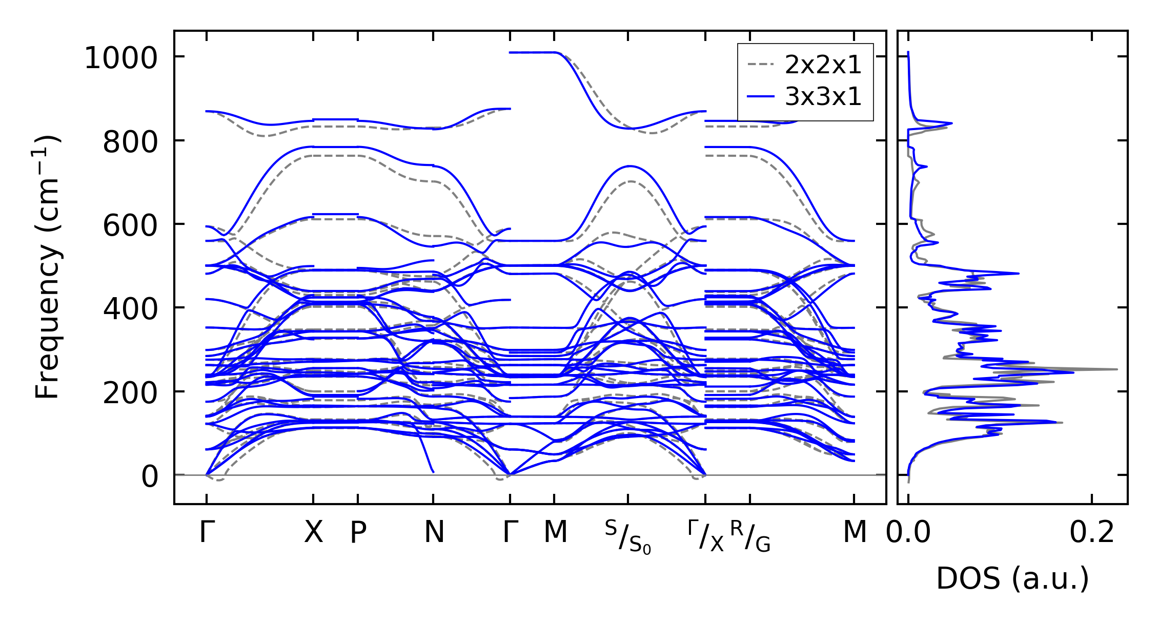
../../_images/fig_bandos13659.png

(b) Phonon dispersion and DOS

../../_images/fig_thermo9789.png

(c) Thermodynamic properties

Grüneisen parameters

../../_images/fig_gru_all3919.png

(a) Grüneisen parameters

../../_images/fig_gruneisen3919.png

(b) Phonon dispersion with Grüneisen parameters

Thermal conductivity

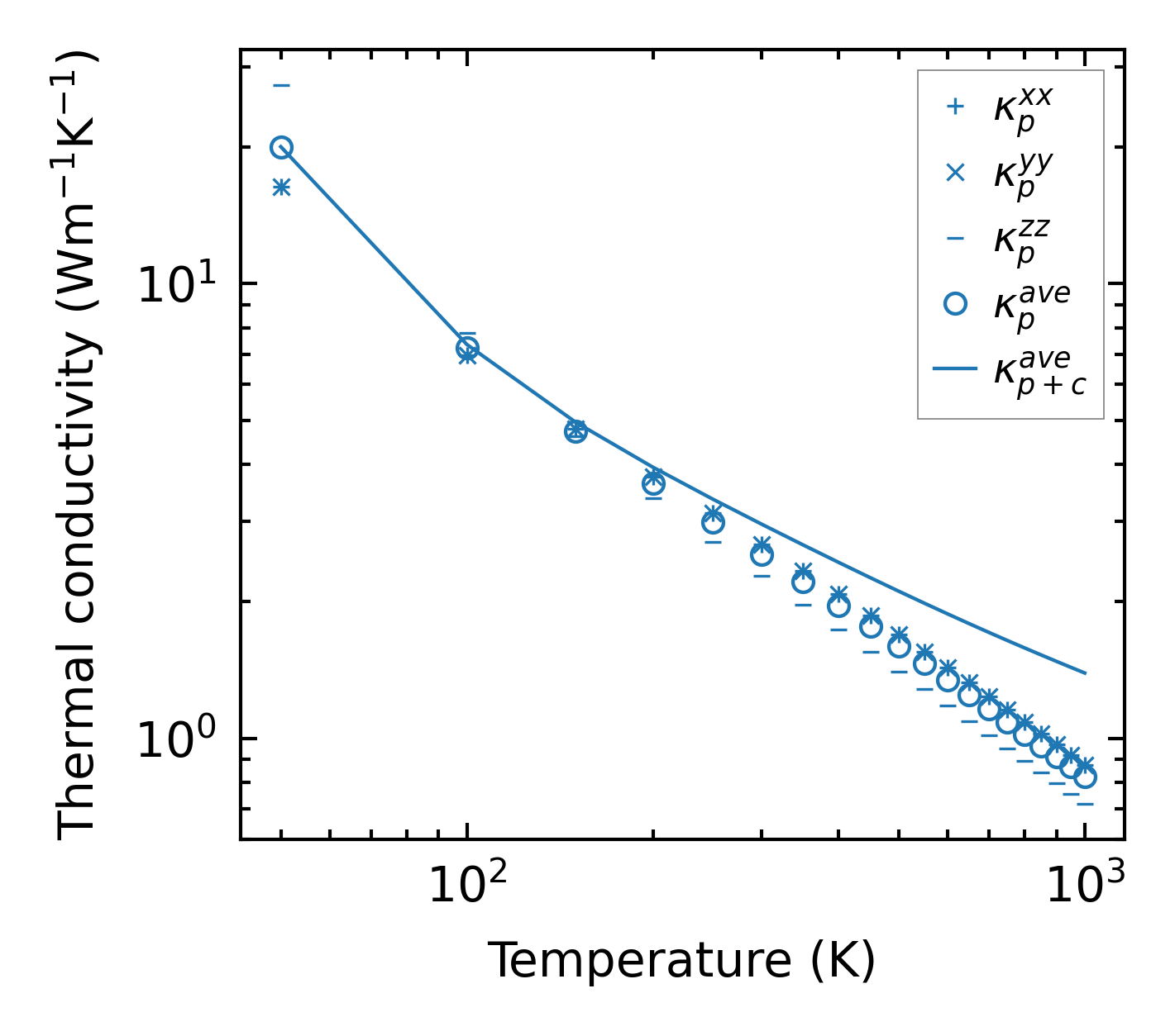
3-phonon (LASSO), supercell 3x3x1 — q-mesh: 13x13x13, supercell: 3x3x1

../../_images/fig_kappa7391.png

(a) Temperature-dependent lattice thermal conductivity

../../_images/fig_kappa_vs_grain_size3970.png

(b) Peierls lattice thermal conductivity w.r.t grain size

Phonon lifetime and scattering rates

../../_images/fig_lifetime3882.png

(a) Phonon lifetime due to phonon-phonon scattering

../../_images/fig_scat_rates3881.png

(b) Phonon scattering rates

Cumulative and spectral thermal conductivity

../../_images/fig_cumu_frequency3882.png

(a) Spectral and cumulative thermal conductivity w.r.t frequency

../../_images/fig_cumu_mfp3881.png

(b) Spectral and cumulative thermal conductivity w.r.t MFP

Force constants

../../_images/fig_fc29545.png

(a) Force constants w.r.t atomic distance

Summary

../../_images/fig_times17009.png

(a) Computation time