mp-5488/LiInO2/anharm

Equation of state

../../_images/fig_bm4993.png

(a) Equation of state

Harmonic properties

../../_images/fig_bandos_pr9989.png

(a) Phonon dispersion with participation ratio and DOS

../../_images/fig_thermo9989.png

(b) Thermodynamic properties

Grüneisen parameters

../../_images/fig_gru_all4003.png

(a) Grüneisen parameters

../../_images/fig_gruneisen4003.png

(b) Phonon dispersion with Grüneisen parameters

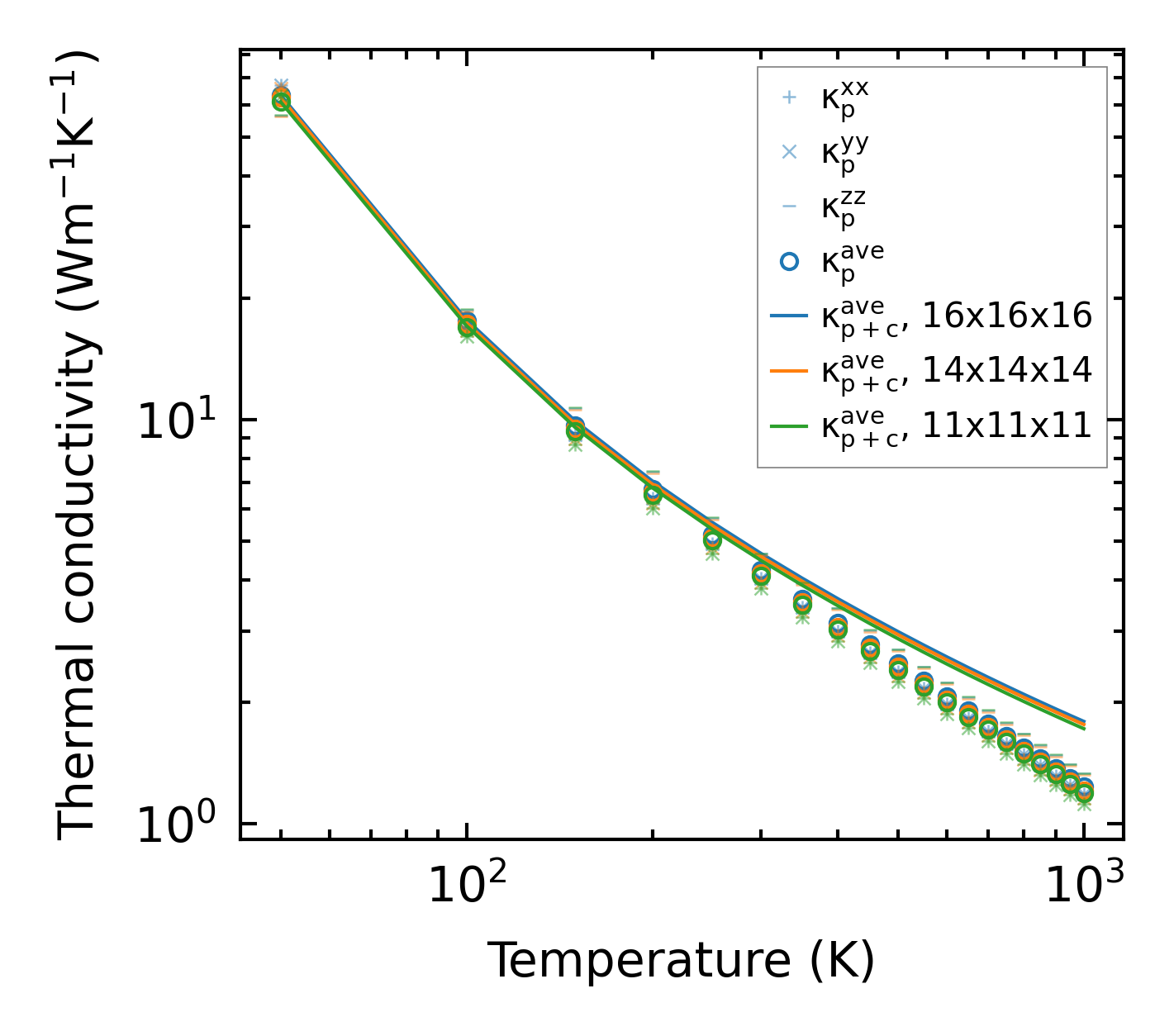
Thermal conductivity

3-phonon (LASSO) — q-mesh: 16x16x16, supercell: 3x3x1

../../_images/fig_kappa7550.png

(a) Temperature-dependent lattice thermal conductivity

../../_images/fig_kappa_vs_grain_size4056.png

(b) Peierls lattice thermal conductivity w.r.t grain size

Phonon lifetime and scattering rates

../../_images/fig_lifetime3965.png

(a) Phonon lifetime due to phonon-phonon scattering

../../_images/fig_scat_rates3964.png

(b) Phonon scattering rates

Cumulative and spectral thermal conductivity

../../_images/fig_cumu_frequency3965.png

(a) Spectral and cumulative thermal conductivity w.r.t frequency

../../_images/fig_cumu_mfp3964.png

(b) Spectral and cumulative thermal conductivity w.r.t MFP

Force constants

../../_images/fig_fc29742.png

(a) Force constants w.r.t atomic distance

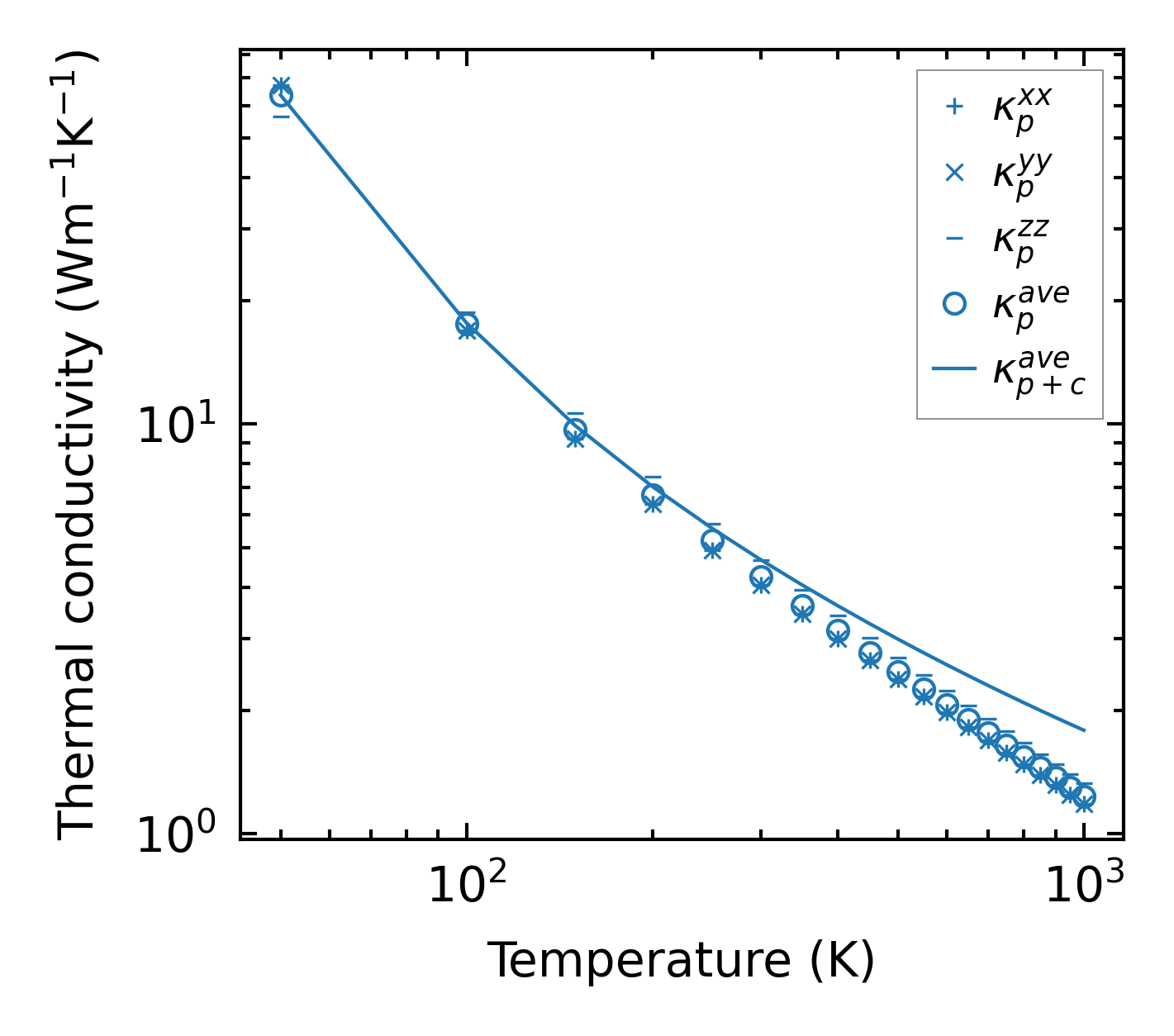
Summary

../../_images/fig_kappa7551.png

(a) Temperature-dependent lattice thermal conductivity

../../_images/fig_times17348.png

(b) Computation time