mp-5274/None/anharm

Harmonic properties

../../_images/fig_bandos13849.png

(a) Phonon dispersion and DOS

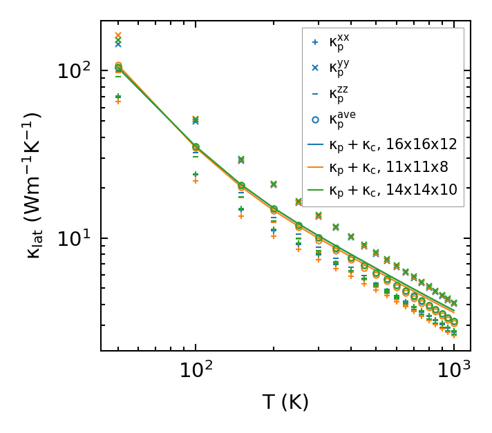
Thermal conductivity

Summary

../../_images/fig_kappa7511.png

(a) Temperature-dependent lattice thermal conductivity

../../_images/fig_times17256.png

(b) Computation time